The City Has A Limited Right To Repurchase The Hospital Site

The jumping off discussion area for the rest of the Deck. All things Lakewood.
Please check out our other sections. As we refile many discussions from the past into
their proper sections please check them out and offer suggestions.

Moderator: Jim O'Bryan

Mark Kindt
Posts: 2654
Joined: Sat Dec 03, 2016 11:06 am

The City Has A Limited Right To Repurchase The Hospital Site

Post by Mark Kindt »

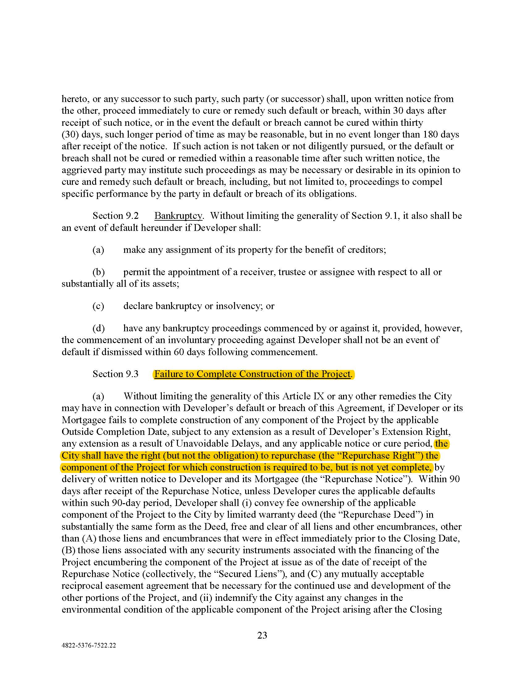
The City Has The Right To Repurchase The Hospital Site Under Certain Very Limited Conditions

In the draft text that I am posting today, we can see that the City of Lakewood does have a limited right to repurchase the hospital site under certain conditions.

CAVEAT: I do not have a current copy of the final Agreement between the City of Lakewood and Carnegie Management And Development. I do not know whether or not the Pre-Closing Appraisal required by this Agreement has taken place. If it has taken place, I do not know its values.

The draft agreement generally provides that in such a repurchase situation, the City of Lakewood would be required to pay the developer (at a minimum) the difference between the Pre-Closing Appraisal and the Updated Appraisal stemming from the repurchase situation.

Obviously, the amount the City of Lakewood would have to pay the developer would be significantly in excess of the $1.00 sale price.

Council-member O'Malley is fundamentally correct in his understanding of how this is structured (as noted in another post of today's date.)
City of Lakewood - Carnegie Det Agreement 4822-5376-7522v.22 23.jpg
City of Lakewood - Carnegie Det Agreement 4822-5376-7522v.22 23.jpg (464.37 KiB) Viewed 5471 times
City of Lakewood - Carnegie Det Agreement 4822-5376-7522v.22 24.jpg
City of Lakewood - Carnegie Det Agreement 4822-5376-7522v.22 24.jpg (482.77 KiB) Viewed 5471 times
Mark Kindt
Posts: 2654
Joined: Sat Dec 03, 2016 11:06 am

Re: The City Has A Limited Right To Repurchase The Hospital Site

Post by Mark Kindt »

Repurchase Of The Hospital Site Could Be Costly If Project Fails

Here's an example of estimated costs should the project fail at 25% completion. These are not small numbers.
Example of Repurchase Costs.jpg
Example of Repurchase Costs.jpg (137.4 KiB) Viewed 5449 times
Stan Austin
Contributor
Posts: 2465
Joined: Tue Mar 15, 2005 12:02 pm
Contact:

Re: The City Has A Limited Right To Repurchase The Hospital Site

Post by Stan Austin »

My head is spinning
Mark Kindt
Posts: 2654
Joined: Sat Dec 03, 2016 11:06 am

Re: The City Has A Limited Right To Repurchase The Hospital Site

Post by Mark Kindt »

Next Example: City Elects Not To Repurchase -- Still High Cost Decision
Example of Site Abandonment Costs.jpg
Example of Site Abandonment Costs.jpg (119.12 KiB) Viewed 5435 times
Mark Kindt
Posts: 2654
Joined: Sat Dec 03, 2016 11:06 am

Re: The City Has A Limited Right To Repurchase The Hospital Site

Post by Mark Kindt »

While it may seem entirely irrational for the City of Lakewood to actually abandon the former hospital site should the development project fail, there is significant recent precedent for the City to do so.

1. Abandonment of long-term current and future hospital lease revenues;

2. Abandonment of hospital employee income tax revenues;

3. Abandonment of public hospital delivered charity care;

4. Abandonment of a public hospital building;

...need I say more.

Now, nothing would surprise me.
Mark Kindt
Posts: 2654
Joined: Sat Dec 03, 2016 11:06 am

Re: The City Has A Limited Right To Repurchase The Hospital Site

Post by Mark Kindt »

The City Has An Illusory Right To Repurchase The Hospital Site I

Sometimes legal rights are illusory.

I believe that that is the actual case with the City's development agreement with its selected developer.

The rights in the development agreement could never be effectively used in the real world should the developer go bankrupt or fail to perform.

In the event of bankruptcy, the City would not be able to exercise this contractual repurchase right. Why? Because the contract rights of the lenders would control.

The property would be part of the bankruptcy estate and would most likely be auctioned off to satisfy the needs of the lenders that funded the development project. The bankruptcy court would, in most instances, be permitted to ignore the City's development contract with the developer.

Some parties, including the City, might be able to receive a small percentage share of the bankruptcy liquidation value of the property. There is no guarantee of this in the bankruptcy environment.
Mark Kindt
Posts: 2654
Joined: Sat Dec 03, 2016 11:06 am

Re: The City Has A Limited Right To Repurchase The Hospital Site

Post by Mark Kindt »

The City Has An Illusory Right To Repurchase The Hospital Site II

Sometimes legal rights are illusory.

In the event that the developer fails to perform, the City has a contractual right to repurchase the property by also satisfying the lenders who funded the development project.

Whether this contractual right is illusory in a real world setting cannot be determined without a review of the contracts between the developer and its lenders.

However, that said, we can be reasonably sure that these contracts will run in favor of the lenders and may possibly impair the City's rights under its development agreement.

The costs of having to litigate conflicting contract rights among the City, its developers, and the developers' lenders may be more expensive than the value of the repurchase.

I use the plural for "developers", because the selected developer has a right to contract with another developer for the residential portion of the project under the development agreement.

Trust me, we are giving away the hospital property for $1.00. That property will never return to the City of Lakewood.
Mark Kindt
Posts: 2654
Joined: Sat Dec 03, 2016 11:06 am

Re: The City Has A Limited Right To Repurchase The Hospital Site

Post by Mark Kindt »

Again, Who In Their Right Mind Would Ever Do This?

--Demolish an award-winning, heritage, public, community hospital and then giveaway the property for $1.00...

Here's the key page:
City of Lakewood - Carnegie Det Agreement 4822-5376-7522v.22 7.jpg
City of Lakewood - Carnegie Det Agreement 4822-5376-7522v.22 7.jpg (468.97 KiB) Viewed 5279 times
Stan Austin
Contributor
Posts: 2465
Joined: Tue Mar 15, 2005 12:02 pm
Contact:

Re: The City Has A Limited Right To Repurchase The Hospital Site

Post by Stan Austin »

Lakewood--the originator and home of an entirely new economic concept--Reverse Capitalism
Mark Kindt
Posts: 2654
Joined: Sat Dec 03, 2016 11:06 am

Re: The City Has A Limited Right To Repurchase The Hospital Site

Post by Mark Kindt »

An Aspersion From The Reaches Of The Dark Web

Folks, here's how this works in Lakewood.

If you attempt to offer intelligent and documented criticism of municipal public policy, more harassment inevitably follows:
mkindt@kindtcom INBOX Message.jpg
mkindt@kindtcom INBOX Message.jpg (110.31 KiB) Viewed 5180 times
User avatar
Jim O'Bryan
Posts: 14196
Joined: Thu Mar 10, 2005 10:12 pm
Location: Lakewood
Contact:

Re: The City Has A Limited Right To Repurchase The Hospital Site

Post by Jim O'Bryan »

Mark Kindt wrote:An Aspersion From The Reaches Of The Dark Web

Folks, here's how this works in Lakewood.

If you attempt to offer intelligent and documented criticism of municipal public policy, more harassment inevitably follows:
mkindt@kindtcom INBOX Message.jpg

Probably the same person claiming mental problems every time he gets caught.

The sick part is how City Hall, the Mayor, Council President Sam O'Leary not only look the other way, but encourage this bullshit.

.
Jim O'Bryan
Lakewood Resident

"The very act of observing disturbs the system."
Werner Heisenberg

"If anything I've said seems useful to you, I'm glad.
If not, don't worry. Just forget about it."
His Holiness The Dalai Lama
Bridget Conant
Posts: 2896
Joined: Wed Jul 26, 2006 4:22 pm

Re: The City Has A Limited Right To Repurchase The Hospital Site

Post by Bridget Conant »

Definitely not an ordinary “citizen.”

Anonymous emails always come from guys with no balls - probably the wife wears the pants.


Lakewood Council is complicit in this because they look the other way. They know it’s going on because they are tagged in every tweet. Don’t they ever get tired of that?
Mark Kindt
Posts: 2654
Joined: Sat Dec 03, 2016 11:06 am

Re: The City Has A Limited Right To Repurchase The Hospital Site

Post by Mark Kindt »

An Educational Moment

Here we can see how the Tor Server system can be used for anonymous harassment of citizens exercising First Amendment rights.

Here's is a link for more information:

https://en.wikipedia.org/wiki/Tor_(anonymity_network)

Many Lakewood citizens have been the victims of similar incidents of harassment when commenting upon local public policy issues.

What is perhaps so unique about this, as so many of us already know, is that the individual that sent me this email is immune from local prosecution.
User avatar
Jim O'Bryan
Posts: 14196
Joined: Thu Mar 10, 2005 10:12 pm
Location: Lakewood
Contact:

Re: The City Has A Limited Right To Repurchase The Hospital Site

Post by Jim O'Bryan »

Bridget Conant wrote:Lakewood Council is complicit in this because they look the other way. They know it’s going on because they are tagged in every tweet. Don’t they ever get tired of that?
You cleaned that story up!

Abusing and using a person who claims mental illness is sick.

.
Jim O'Bryan
Lakewood Resident

"The very act of observing disturbs the system."
Werner Heisenberg

"If anything I've said seems useful to you, I'm glad.
If not, don't worry. Just forget about it."
His Holiness The Dalai Lama
Mark Kindt
Posts: 2654
Joined: Sat Dec 03, 2016 11:06 am

Re: The City Has A Limited Right To Repurchase The Hospital Site

Post by Mark Kindt »

Mark Kindt wrote:An Educational Moment

Here we can see how the Tor Server system can be used for anonymous harassment of citizens exercising First Amendment rights.

Here's is a link for more information:

https://en.wikipedia.org/wiki/Tor_(anonymity_network)

Many Lakewood citizens have been the victims of similar incidents of harassment when commenting upon local public policy issues.

What is perhaps so unique about this, as so many of us already know, is that the individual that sent me this email is immune from local prosecution.
Official Knowledge of Citizen Harassment

I will make a final point about this and then move on to other public policy topics.

Virtually every public employee and elected official in Lakewood, from the policeman on the beat to the Mayor's office to the Law Department to the Municipal Court staff know that this former political operative and former public employee has been routinely harassing a wide variety of Lakewood residents who have expressed political opinions about the closure of the hospital.
Post Reply