Lakewood Democrats Contribute $ to Republican Candidate
Moderator: Jim O'Bryan
-
Bridget Conant
- Posts: 2896
- Joined: Wed Jul 26, 2006 4:22 pm
Lakewood Democrats Contribute $ to Republican Candidate
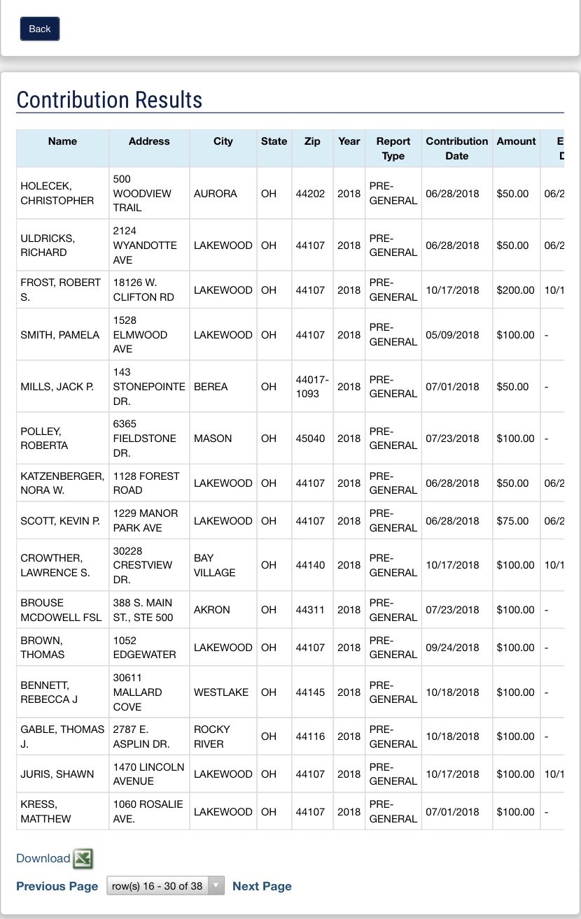
Interesting the number of local Dems, including former elected Democratic officials, who contributed money to Republican candidate Jay Carson
For shame, for shame.
Democrats in name only.
For shame, for shame.
Democrats in name only.
- Attachments
-
- 1928672C-7412-4366-B598-ECF9DF359153.jpeg (284.82 KiB) Viewed 3510 times
-
Dan Alaimo
- Posts: 2140
- Joined: Fri Apr 23, 2010 8:49 am
Re: Lakewood Democrats Contribute $ to Republican Candidate
This a quite a list. Keep it around as it contains a who's who of Lakewood power brokers.
It helps answer the question of who Jim talking is about when he references the shadowy people running (or trying to run) Lakewood.
Who on this list is a member of the Democratic Club?
Two other questions occur:
What is he using all this money for? All I've seen of his campaign is a couple of yard signs, but then I'm hardly the voter he'd be trying to reach.
And who is Realtors PAC Ohio? $5000!
It helps answer the question of who Jim talking is about when he references the shadowy people running (or trying to run) Lakewood.
Who on this list is a member of the Democratic Club?
Two other questions occur:
What is he using all this money for? All I've seen of his campaign is a couple of yard signs, but then I'm hardly the voter he'd be trying to reach.
And who is Realtors PAC Ohio? $5000!
“Never let a good crisis go to waste." - Winston Churchill (Quote later appropriated by Rahm Emanuel)
- Jim O'Bryan
- Posts: 14196
- Joined: Thu Mar 10, 2005 10:12 pm
- Location: Lakewood
- Contact:
Re: Lakewood Democrats Contribute $ to Republican Candidate
Dan Alaimo wrote:This a quite a list. Keep it around as it contains a who's who of Lakewood power brokers.
More like a list of loser wannabees and has beens.
.
Jim O'Bryan
Lakewood Resident
"The very act of observing disturbs the system."
Werner Heisenberg
"If anything I've said seems useful to you, I'm glad.
If not, don't worry. Just forget about it."
His Holiness The Dalai Lama
Lakewood Resident
"The very act of observing disturbs the system."
Werner Heisenberg
"If anything I've said seems useful to you, I'm glad.
If not, don't worry. Just forget about it."
His Holiness The Dalai Lama
-
Bridget Conant
- Posts: 2896
- Joined: Wed Jul 26, 2006 4:22 pm
Re: Lakewood Democrats Contribute $ to Republican Candidate
I’m with Jim on this. The pols on this list are all has-beens who still think they have some clout, but don’t.Jim O'Bryan wrote:Dan Alaimo wrote:This a quite a list. Keep it around as it contains a who's who of Lakewood power brokers.
More like a list of loser wannabees and has beens.
.
Like Juris, former councilman who emailed Summers all high and mighty and adamant that Summers stay strong against allowing pit bulls. Look how THAT ended Shawn - didn’t do any good, did it.
Some people just like to waste money, I guess.
-
Michael Deneen
- Posts: 2133
- Joined: Fri Jul 08, 2005 4:10 pm
Re: Lakewood Democrats Contribute $ to Republican Candidate
Thanks for sharing this Bridget.
This is a reminder that it's important to vote MIKE SKINDELL FOR STATE REPRESENTATIVE on November 6.
The statewide and federal races are drawing the media attention....but races like this one will also impact our community for years to come.
It's easy to assume "Skindell will win easily, he's a Democrat in a blue district".
However, this list shows that Team Summers is still working behind the scenes to punish Skindell for his integrity and transparency.
Take nothing for granted....be sure to vote Skindell!
This is a reminder that it's important to vote MIKE SKINDELL FOR STATE REPRESENTATIVE on November 6.
The statewide and federal races are drawing the media attention....but races like this one will also impact our community for years to come.
It's easy to assume "Skindell will win easily, he's a Democrat in a blue district".
However, this list shows that Team Summers is still working behind the scenes to punish Skindell for his integrity and transparency.
Take nothing for granted....be sure to vote Skindell!
-
cmager
- Posts: 697
- Joined: Fri Feb 19, 2016 8:33 am
Re: Lakewood Democrats Contribute $ to Republican Candidate
Keep this list so you can kick DINOs to the gutter. It'd be a good idea to recapture the Democratic Club from harm.Dan Alaimo wrote:This a quite a list. Keep it around as it contains a who's who of Lakewood power brokers. It helps answer the question of who Jim talking is about when he references the shadowy people running (or trying to run) Lakewood. Who on this list is a member of the Democratic Club?
- Jim O'Bryan
- Posts: 14196
- Joined: Thu Mar 10, 2005 10:12 pm
- Location: Lakewood
- Contact:
Re: Lakewood Democrats Contribute $ to Republican Candidate
Michael Deneen wrote:Thanks for sharing this Bridget.
This is a reminder that it's important to vote MIKE SKINDELL FOR STATE REPRESENTATIVE on November 6.
The statewide and federal races are drawing the media attention....but races like this one will also impact our community for years to come.
It's easy to assume "Skindell will win easily, he's a Democrat in a blue district".
However, this list shows that Team Summers is still working behind the scenes to punish Skindell for his integrity and transparency.
Take nothing for granted....be sure to vote Skindell!
Mike
Skindell is the most honest hard working and most intelligent politician to come out of Lakewood. Effective should head that list. His honesty and integrity has proved to be a massive asset in a Republican lead state. They know he will work for what is right, so when it is not some program that could hurt Ohio voters, Skindell will listen and even work with them to get some things done. Something sadly missing in politics in this day and age. However if it is not good for Ohioans Skindell will fight it, and go public with the issue.
Bridget
It read like a whose who list of people against the public's right to know, intimidation and all out war against the Observer and civic discourse. We warned of the sewers in 2006. We broke the news on Lakewood Hospital in 2014. We broke the story in buildings being sold under value. We broke the story in impropoer hiring and running campaigns from City Hall. And most of this group just came back with SLAPP Lawsuits, intimidation against women, and untruth.
B Mager
Might be too late. They have been deeply co-opted, split, and rendered a meet and great club. When a Democratic Club does not stand for honesty, transparency, accountability and what is best for the residents, kick them to the curb too.
.
Jim O'Bryan
Lakewood Resident
"The very act of observing disturbs the system."
Werner Heisenberg
"If anything I've said seems useful to you, I'm glad.
If not, don't worry. Just forget about it."
His Holiness The Dalai Lama
Lakewood Resident
"The very act of observing disturbs the system."
Werner Heisenberg
"If anything I've said seems useful to you, I'm glad.
If not, don't worry. Just forget about it."
His Holiness The Dalai Lama