Questioning The Redevelopment of the Former Hospital Site
Moderator: Jim O'Bryan
-
Mark Kindt
- Posts: 2654
- Joined: Sat Dec 03, 2016 11:06 am
Questioning The Redevelopment of the Former Hospital Site
Twelve Reasons To Question The Redevelopment Of The Former Hospital Site
The proposed redevelopment project for the former Lakewood Hospital site known as One Lakewood Place is probably the wrong redevelopment project for the following reasons:
Reason No. 1. None of the mixed-use commercial/residential proposals reviewed by the City were financially viable without multi-million dollar public subsidies from the City of Lakewood.
Reason No. 2. Housing data provided by the federal government does not support the proposed construction of new apartment units at the former hospital site.
Reason No. 3. The housing data provided by the City's own consultant is even less supportive of the proposed construction of new apartments at the former hospital site.
Reason No. 4. The market study prepared for the city administration does not provide any support for the use of multi-million dollar public subsidies for the redevelopment of the former hospital site.
Reason No. 5. The proposed redevelopment project will not fully replace public revenues that were lost by the decision to close the hospital.
Reason No. 6. There is no evidence of market failure that would independently justify the use of multi-million dollar subsidies for the redevelopment of the former hospital site.
Reason No. 7. There is public employment data (in the market study) strongly suggesting that any redevelopment project should attempt to capture future healthcare, social service, and science/technology related jobs.
Reason No. 8. Projects with high levels of employment are more likely than the proposed project to generate employee income tax revenues and, therefore, will recoup the value of public subsidies faster.
Reason No. 9. The proposed redevelopment project, with proposed multi-million dollar subsides, may have negative effects in the local rental market; these possible negative effects have not been studied or quantified.
Reason No. 10. The proposed redevelopment project will not be eligible for new federal benefits on capital gains taxation under the new tax code, since Lakewood will not be eligible to participate in these new federal benefits.
Reason No. 11. Because the proposed redevelopment project will not be eligible for these tax benefits, the project may require greater tax subsidies from the local tax base.
Reason No. 12. There is a strong argument that the former hospital site be redeveloped for purposes that are broadly public, civic, innovative and planned to achieve high on-site employment levels.
Let's make this a baker's dozen.
Reason No. 13. Published media reports on excess capacity in the office and the retail sectors of our local/regional commercial real estate markets do not support these aspects of the proposal.
The proposed redevelopment project for the former Lakewood Hospital site known as One Lakewood Place is probably the wrong redevelopment project for the following reasons:
Reason No. 1. None of the mixed-use commercial/residential proposals reviewed by the City were financially viable without multi-million dollar public subsidies from the City of Lakewood.
Reason No. 2. Housing data provided by the federal government does not support the proposed construction of new apartment units at the former hospital site.
Reason No. 3. The housing data provided by the City's own consultant is even less supportive of the proposed construction of new apartments at the former hospital site.
Reason No. 4. The market study prepared for the city administration does not provide any support for the use of multi-million dollar public subsidies for the redevelopment of the former hospital site.
Reason No. 5. The proposed redevelopment project will not fully replace public revenues that were lost by the decision to close the hospital.
Reason No. 6. There is no evidence of market failure that would independently justify the use of multi-million dollar subsidies for the redevelopment of the former hospital site.
Reason No. 7. There is public employment data (in the market study) strongly suggesting that any redevelopment project should attempt to capture future healthcare, social service, and science/technology related jobs.
Reason No. 8. Projects with high levels of employment are more likely than the proposed project to generate employee income tax revenues and, therefore, will recoup the value of public subsidies faster.
Reason No. 9. The proposed redevelopment project, with proposed multi-million dollar subsides, may have negative effects in the local rental market; these possible negative effects have not been studied or quantified.
Reason No. 10. The proposed redevelopment project will not be eligible for new federal benefits on capital gains taxation under the new tax code, since Lakewood will not be eligible to participate in these new federal benefits.
Reason No. 11. Because the proposed redevelopment project will not be eligible for these tax benefits, the project may require greater tax subsidies from the local tax base.
Reason No. 12. There is a strong argument that the former hospital site be redeveloped for purposes that are broadly public, civic, innovative and planned to achieve high on-site employment levels.
Let's make this a baker's dozen.
Reason No. 13. Published media reports on excess capacity in the office and the retail sectors of our local/regional commercial real estate markets do not support these aspects of the proposal.
-
Stan Austin
- Contributor
- Posts: 2465
- Joined: Tue Mar 15, 2005 12:02 pm
- Contact:
Re: Questioning The Redevelopment of the Former Hospital Site
Just a thought-- Mark Kindt and Bill Call's analysis of site proposals have essentially been free. Has the City actually paid cash money for studies or analysis?
-
Mark Kindt
- Posts: 2654
- Joined: Sat Dec 03, 2016 11:06 am
Re: Questioning The Redevelopment of the Former Hospital Site
Yes, the City hired "4ward Planning" to do its market study for the redevelopment of the former hospital site.
This report is on the City's website. It is 108 pages.
I have gone over it with a fine-tooth comb in my Deck series "The Vision Thing". The report is also posted there.
This report is on the City's website. It is 108 pages.
I have gone over it with a fine-tooth comb in my Deck series "The Vision Thing". The report is also posted there.
-
Stan Austin
- Contributor
- Posts: 2465
- Joined: Tue Mar 15, 2005 12:02 pm
- Contact:
Re: Questioning The Redevelopment of the Former Hospital Site
To the bottom line-- I should be paid - say - $5oo,000 and given a seat in the lead car in the 4th of July Parade for doing jackshit
-
Tim Liston
- Posts: 752
- Joined: Sun Aug 07, 2005 3:10 pm
Re: Questioning The Redevelopment of the Former Hospital Site
Mark, your baker’s dozen is an excellent rundown. The bottom line for me is, and you’ve said it above, more or less….
1…. A “mixed-use community” seems hell-bent on developing a mixed-use facility within it. That makes no sense to me, as I’ve said before (click here). Something like what’s being proposed makes more sense in a pure bedroom city like Bay Village.
2…. The “uses” being proposed for Lakewood’s mixed-use facility (residential, office, retail) are already overbuilt here and everywhere. Heck maybe I’ll even concede that continuing to operate an inpatient acute care facility (aka hospital) in Lakewood may be foolish in the long run. Who knows? We never really got any credible evidence one way or another. Everything that was put out there had an agenda behind it. But to replace it with office/residential/retail? Yikes!
Mark your Reason No. 12 really hit home with me: “Reason No. 12. There is a strong argument that the former hospital site be redeveloped for purposes that are broadly public, civic (and) innovative….”
By converting public assets (e.g. McKinley, the BOE building) to mundane (albeit taxpaying) uses, Lakewood is eating its seed corn. There seems to be a notion these days at City Hall that the “best use” of a public asset is to generate tax revenues. David Anderson all but said so in this thread (click here). It’s how they justify the underhanded tactics they use to “sell” those assets to their new developer-owners.
But the City seems to be ignoring the law of unintended consequences. And the unintended consequences in this case are that divesting public asset makes Lakewood a less-desirable place to live. So yeah, maybe you added a couple hundred taxpayers and their domiciles to the tax base. But if every other Lakewood domicile is worth even 1% less because there are fewer public amenities, you’ve gained absolutely nothing financially.
The bottom line I think is that Lakewood, like many municipalities, is insolvent. Now, I have no prima facie evidence of it, as I have not pored over the books. All I know is that (1) most cities are in bad financial shape, and (2) Lakewood walks and talks like a duck. My guess is that, as is generally the case, the worrisome liabilities are not on the books anyways, at least not straightforwardly.
As a result the financial tactics become more short-term in nature. I was amused to read this (click here) just this morning. The private equity vultures are circling Hartford, CT, offering to buy any and every public asset offered to them, so long as they are guaranteed a 7.25% annual return in a leaseback arrangement. Which, in a world where a guaranteed 3.5% has many takers, means the vultures will pay about half of what the properties are worth in the long run. But you know what? Hartford may very well do it, because the bills are piling up. (The irony is that the PE company is in Chicago.)
So I’ll put this out there. One of the best uses of the former hospital property would be (drum roll please) as a “Rec Center and Natatorium.” That’s the sort of things that mixed-use cities need. Not more of the same. And whatever that is in the high school is too inaccessible to the average Lakewood resident (probably by design). That’s why I have said before, the Solstice Steps was the best $1 million this city ever spent. It not only adds something new to the mix, but it adds something few other cities even can. It’s an incredible asset.
Just some thoughts....
1…. A “mixed-use community” seems hell-bent on developing a mixed-use facility within it. That makes no sense to me, as I’ve said before (click here). Something like what’s being proposed makes more sense in a pure bedroom city like Bay Village.
2…. The “uses” being proposed for Lakewood’s mixed-use facility (residential, office, retail) are already overbuilt here and everywhere. Heck maybe I’ll even concede that continuing to operate an inpatient acute care facility (aka hospital) in Lakewood may be foolish in the long run. Who knows? We never really got any credible evidence one way or another. Everything that was put out there had an agenda behind it. But to replace it with office/residential/retail? Yikes!
Mark your Reason No. 12 really hit home with me: “Reason No. 12. There is a strong argument that the former hospital site be redeveloped for purposes that are broadly public, civic (and) innovative….”
By converting public assets (e.g. McKinley, the BOE building) to mundane (albeit taxpaying) uses, Lakewood is eating its seed corn. There seems to be a notion these days at City Hall that the “best use” of a public asset is to generate tax revenues. David Anderson all but said so in this thread (click here). It’s how they justify the underhanded tactics they use to “sell” those assets to their new developer-owners.
But the City seems to be ignoring the law of unintended consequences. And the unintended consequences in this case are that divesting public asset makes Lakewood a less-desirable place to live. So yeah, maybe you added a couple hundred taxpayers and their domiciles to the tax base. But if every other Lakewood domicile is worth even 1% less because there are fewer public amenities, you’ve gained absolutely nothing financially.
The bottom line I think is that Lakewood, like many municipalities, is insolvent. Now, I have no prima facie evidence of it, as I have not pored over the books. All I know is that (1) most cities are in bad financial shape, and (2) Lakewood walks and talks like a duck. My guess is that, as is generally the case, the worrisome liabilities are not on the books anyways, at least not straightforwardly.
As a result the financial tactics become more short-term in nature. I was amused to read this (click here) just this morning. The private equity vultures are circling Hartford, CT, offering to buy any and every public asset offered to them, so long as they are guaranteed a 7.25% annual return in a leaseback arrangement. Which, in a world where a guaranteed 3.5% has many takers, means the vultures will pay about half of what the properties are worth in the long run. But you know what? Hartford may very well do it, because the bills are piling up. (The irony is that the PE company is in Chicago.)
So I’ll put this out there. One of the best uses of the former hospital property would be (drum roll please) as a “Rec Center and Natatorium.” That’s the sort of things that mixed-use cities need. Not more of the same. And whatever that is in the high school is too inaccessible to the average Lakewood resident (probably by design). That’s why I have said before, the Solstice Steps was the best $1 million this city ever spent. It not only adds something new to the mix, but it adds something few other cities even can. It’s an incredible asset.
Just some thoughts....
-
Stan Austin
- Contributor
- Posts: 2465
- Joined: Tue Mar 15, 2005 12:02 pm
- Contact:
Re: Questioning The Redevelopment of the Former Hospital Site
Fascinating reading the posts of Mark an Tim discussing the possible uses and underlying "financing" of the hospital site. It's like watching a championship Wimbledon tennis match. The catch is that these two are "amateurs" - they ain't gettin' paid. What are we- the public getting in terms of proposals from paid consultants? (upscale pet food store)
-
Peter Grossetti
- Posts: 1533
- Joined: Wed Jun 15, 2011 10:43 pm
Re: Questioning The Redevelopment of the Former Hospital Site
I’m beginning to think “mixed use”= “we
don’t have a clue.” (In a CYA sort of way)
don’t have a clue.” (In a CYA sort of way)
"So, let's make the most of this beautiful day.
Since we're together we might as well say:
Would you be mine? Could you be mine?
Won't you be my neighbor?"
~ Fred (Mr. Rogers) Rogers
Since we're together we might as well say:
Would you be mine? Could you be mine?
Won't you be my neighbor?"
~ Fred (Mr. Rogers) Rogers
-
Bridget Conant
- Posts: 2896
- Joined: Wed Jul 26, 2006 4:22 pm
Re: Questioning The Redevelopment of the Former Hospital Site
Interesting articles easily found that discuss the idea that “mixed use” developments are the current fad but don’t usually deliver what they promise.
It’s developers pushing the idea, of course, but in actual practice, they fall short.
http://cumbelich.com/blog/the-inconveni ... -mixed-use
http://ti.org/antiplanner/?p=8142
https://www.minnpost.com/cityscape/2014 ... ed-results
https://smartech.gatech.edu/bitstream/h ... actice.pdf
https://www.chainstoreage.com/article/m ... mixed-bag/
https://www.paloaltoonline.com/blogs/p/ ... evelopment
http://www.newgeography.com/content/005 ... -monoliths
It’s developers pushing the idea, of course, but in actual practice, they fall short.
http://cumbelich.com/blog/the-inconveni ... -mixed-use
http://ti.org/antiplanner/?p=8142
https://www.minnpost.com/cityscape/2014 ... ed-results
https://smartech.gatech.edu/bitstream/h ... actice.pdf
https://www.chainstoreage.com/article/m ... mixed-bag/
https://www.paloaltoonline.com/blogs/p/ ... evelopment
http://www.newgeography.com/content/005 ... -monoliths
-
Bridget Conant
- Posts: 2896
- Joined: Wed Jul 26, 2006 4:22 pm
Re: Questioning The Redevelopment of the Former Hospital Site
Google “retail implosion” or “retail apocalypse,”. Plenty of Bloomberg and other industry papers predicting doom and gloom for retail.
Retail is SO overbuilt in the US. We have virtually 6 times the retail space per person as the next country behind us. It’s been overbuilt for a long time but now there will be an adjustment as more and more shopping is done online. Millenials, those young folks the mayor thinks will save our city, just aren’t shoppers.
Retail is SO overbuilt in the US. We have virtually 6 times the retail space per person as the next country behind us. It’s been overbuilt for a long time but now there will be an adjustment as more and more shopping is done online. Millenials, those young folks the mayor thinks will save our city, just aren’t shoppers.
-
Paul Schrimpf
- Posts: 328
- Joined: Sun Jul 10, 2005 7:37 am
Re: Questioning The Redevelopment of the Former Hospital Site
It's almost impossible to synthesize "mixed use" based on what arises organically when businesses are created to address real needs and local demands in neighborhoods. Too often it's driven by perceptions of what people want, or by greed, or by overzealous city government. What JOB has said for years, I think, is true. Nurture the residents and businesses will come along.
-
Bridget Conant
- Posts: 2896
- Joined: Wed Jul 26, 2006 4:22 pm
Re: Questioning The Redevelopment of the Former Hospital Site
Absolutely true.Paul Schrimpf wrote:It's almost impossible to synthesize "mixed use" based on what arises organically when businesses are created to address real needs and local demands in neighborhoods. Too often it's driven by perceptions of what people want, or by greed, or by overzealous city government. What JOB has said for years, I think, is true. Nurture the residents and businesses will come along.
A good example is Crocker Park. It’s attempting to emulate an urban center or downtown but is merely a charade. So Las Vegas-ey.
- Jim O'Bryan
- Posts: 14196
- Joined: Thu Mar 10, 2005 10:12 pm
- Location: Lakewood
- Contact:
Re: Questioning The Redevelopment of the Former Hospital Site
Paul Schrimpf wrote:It's almost impossible to synthesize "mixed use" based on what arises organically when businesses are created to address real needs and local demands in neighborhoods. Too often it's driven by perceptions of what people want, or by greed, or by overzealous city government. What JOB has said for years, I think, is true. Nurture the residents and businesses will come along.
Paul
Slow and organic is the best. Also a unique brand and most importantly understanding that "brand." From the earliest days of this project, we worked to understand and define the brand, for a variety of reason but the most important one, was knowing what you are, who you are and building on that. Lakewood had been a supremely successful community for nearly 100 years. And through all of that we remained unique from those communities around us that for lack of a better term we were in competition with.
When you interject artificial development, you can cause havoc, and unintended consequences that can ripple, if not destroy the once vibrant community. A perfect example is malls. While they can add to a tax base they increase greatly on emergency services, police, and declining values near the mall. Casinos are the same way, but instead of affecting areas next to them, it destroys areas just outside the inner ring near them. We have watched this played out time and time and time again all over the country.
Here in Lakewood there have been a small group of people that have felt "hurt" since the West End Debacle, and were set in their ways to prove the community wrong. None of them had any real background in development, but they knew they wanted shopping malls closer to their homes, but not too close. So they formed group after group, with name after name, even forming splinter groups with different names all dedicated to the same thing. Changing Lakewood, for no good reason or no real understanding of the community. They knew what they wanted, and were determined to shove it down the rest of our throats. Like it or not, making sense or not.
The failed West End Multi Use Strip Mall, became "DowntowN." And they set about rebuilding the core of a bedroom community into something it wasn't and really never needed to be. Actually as pointed out by one person on the new task-force, attempts to redevelop "DowntowNs" have failed 90% of the time. Instead creating empty developments, empty space, and an ever growing hole in the community. Of course a way to fill this hole is what our "civic leaders" are doing, throwing money at it, millions and millions. In an attempt to prove they were right, and a desperate attempt to fill the hole they caused. ie The Hospital Debacle, just another of many reasons City Hall refuses to let the public see any of the documents.
So now Lakewood has changed from a bedroom community dedicated to intelligence and education, into the most fractured community in the county. As of last week 7 communities pages, all in an effort to control messages and shut others up. How sad from a city that used to pride itself on community and civic discourse. We used to be a great incubator for small businesses that could grow. After all 51,000 (now possibly under 50,000) is a great place to try an idea, and see if it works. If it does grow elsewhere. Melt and Observers are perfect examples. But when you court Big Box stores, and national corporations it puts a strain on all but the best and strongest small businesses. And that leaves, empty store fronts, and broken dreams.
Much like the dying reefs in the ocean, changing the trend, and getting back what was lost is pretty hard, but not impossible. Our biggest hurdle is replacing our strongest business, one of the few in this community with a massive upside, health care. A $178 million dollars asset with something, anything that was as easy to maintain, and as profitable to all areas of this community. Not only is that a necessity now, but it is also possibly life or death. When a City squanders $178 million dollar cash cow, and another $10 million gifted to it, for some magic beans and shiny non-money making objects to cover up the hole. It is pretty grave, and underlines yet again why City Hall refuses to come clean and be honest and transparent with its citizens. It has truly screwed the pooch on this one.
.
Jim O'Bryan
Lakewood Resident
"The very act of observing disturbs the system."
Werner Heisenberg
"If anything I've said seems useful to you, I'm glad.
If not, don't worry. Just forget about it."
His Holiness The Dalai Lama
Lakewood Resident
"The very act of observing disturbs the system."
Werner Heisenberg
"If anything I've said seems useful to you, I'm glad.
If not, don't worry. Just forget about it."
His Holiness The Dalai Lama
-
Bridget Conant
- Posts: 2896
- Joined: Wed Jul 26, 2006 4:22 pm
Re: Questioning The Redevelopment of the Former Hospital Site
Social media. It’s like looking into the mirror.As of last week 7 communities pages, all in an effort to control messages and shut other up. How sad from a city that used to pride itself on community and civic discourse.
The multiple Lakewood pages, all competing and fighting with one another, just reflect what’s happening in the community, if you can even call it a community any more. All just a bunch of tribes bashing each other.
Thanks, Summers!
-
m buckley
- Posts: 708
- Joined: Mon Sep 15, 2014 12:52 pm
Re: Questioning The Redevelopment of the Former Hospital Site
Bridget Conant wrote:The multiple Lakewood pages, all competing and fighting with one another, just reflect what’s happening in the community, if you can even call it a community any more. All just a bunch of tribes bashing each other.As of last week 7 communities pages, all in an effort to control messages and shut other up. How sad from a city that used to pride itself on community and civic discourse.
Thanks, Summers!
Mike Summers.
Just win.
No reconciliation. No healing.
He doesn't lead. He divides. "Cindy Marx we can use you."
That's his specialty . Gutter politics.
And in it's wake, a fractured community and the poison and damage that follows.
'Big man, pig man
Ha, ha, charade you are.'
" City Council is a 7-member communications army." Colin McEwen December 10, 2015.
-
Mark Kindt
- Posts: 2654
- Joined: Sat Dec 03, 2016 11:06 am
Re: Questioning The Redevelopment of the Former Hospital Site
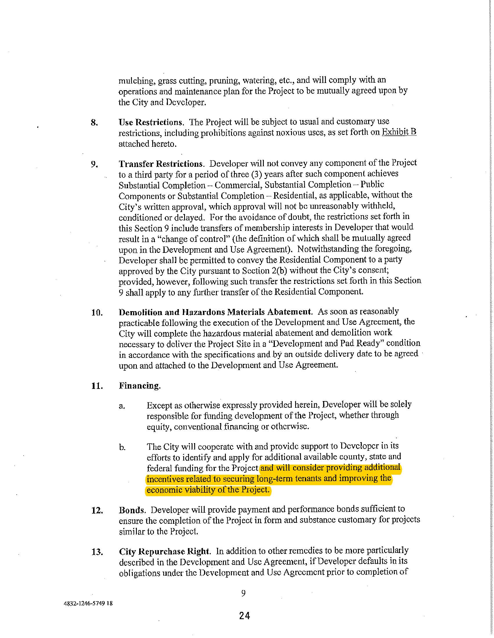
As we can see, the city administration is leaving the door open for additional public subsidies to those leasing in the proposed development.
- Attachments
-
- Carnegie Term Sheet at Page 9 - Highlighted.jpg (417.93 KiB) Viewed 5972 times