High School Indoor Track not for Student Use?

The jumping off discussion area for the rest of the Deck. All things Lakewood.
Please check out our other sections. As we refile many discussions from the past into
their proper sections please check them out and offer suggestions.

Moderator: Jim O'Bryan

Bridget Conant
Posts: 2896
Joined: Wed Jul 26, 2006 4:22 pm

High School Indoor Track not for Student Use?

Post by Bridget Conant »

Image

Image

----------------------------------------------------------------------------------------------------------------------

There is a hot topic on social media regarding the new indoor track at the high school.

From what I am reading, the track will be available to those who sign up to use the “Fitness Center.” However, it appears that STUDENTS will not be allowed to use the track.

I’d love it if Christine Gordillo or a school board member could set the record straight.
Michael Deneen
Posts: 2133
Joined: Fri Jul 08, 2005 4:10 pm

Re: High School Indoor Track not for Student Use?

Post by Michael Deneen »

The LHS varsity coaches have all been told that they and their teams CANNOT use new indoor track at all. (as if January 2018).
That decision is outrageous.

This is further evidence that this city's leadership (and the school board) don't give a hoot in hell about kids....especially the LHS sports teams.

Parents and alumni need to get organized to fight this.
Christine Gordillo
Posts: 195
Joined: Wed Nov 30, 2005 10:28 pm

Re: High School Indoor Track not for Student Use?

Post by Christine Gordillo »

The students/teams will be able to use the indoor track. The District is still working out balancing the needs of our students/teams and the community members who sign up and pay to use the track.
Bridget Conant
Posts: 2896
Joined: Wed Jul 26, 2006 4:22 pm

Re: High School Indoor Track not for Student Use?

Post by Bridget Conant »

Christine Gordillo, thank you for responding.

This, however, is concerning:
The District is still working out balancing the needs of our students/teams and the community members who sign up and pay to use the track.

The SCHOOL District is balancing the needs? Shouldn’t the SCHOOL District place the needs of the STUDENTS at the highest level of priority?

Something isn’t right with this. Since when does a “paying customer” get priority over a student in our district?
User avatar
Jim O'Bryan
Posts: 14196
Joined: Thu Mar 10, 2005 10:12 pm
Location: Lakewood
Contact:

Re: High School Indoor Track not for Student Use?

Post by Jim O'Bryan »

Bridget Conant wrote:Christine Gordillo, thank you for responding.

This, however, is concerning:
The District is still working out balancing the needs of our students/teams and the community members who sign up and pay to use the track.

The SCHOOL District is balancing the needs? Shouldn’t the SCHOOL District place the needs of the STUDENTS at the highest level of priority?

Something isn’t right with this. Since when does a “paying customer” get priority over a student in our district?

Bridget, Mike, Others

I have been assured by the Administration that, students and sports team will have first use and only of the facility during school hours.

I also believe that the administration has the students deep in their hearts and heads first when making decisions.

The problem as I see it and hear it is how to keep the kids safe, with a facility that is also public at some point.

Stay tuned.

.
Jim O'Bryan
Lakewood Resident

"The very act of observing disturbs the system."
Werner Heisenberg

"If anything I've said seems useful to you, I'm glad.
If not, don't worry. Just forget about it."
His Holiness The Dalai Lama
Bridget Conant
Posts: 2896
Joined: Wed Jul 26, 2006 4:22 pm

Re: High School Indoor Track not for Student Use?

Post by Bridget Conant »

The problem as I see it and hear it is how to keep the kids safe, with a facility that is also public at some point.
Really? You mean they didn’t consider that issue as they were planning on making the high school accessible to the public both with this “Fitness Facility” and the Cleveland Clinic Health Center?

Really?
User avatar
Jim O'Bryan
Posts: 14196
Joined: Thu Mar 10, 2005 10:12 pm
Location: Lakewood
Contact:

Re: High School Indoor Track not for Student Use?

Post by Jim O'Bryan »

Bridget Conant wrote:
The problem as I see it and hear it is how to keep the kids safe, with a facility that is also public at some point.
Really? You mean they didn’t consider that issue as they were planning on making the high school accessible to the public both with this “Fitness Facility” and the Cleveland Clinic Health Center?

Really?

Bridget

I can only pass on what has been told to me, and from the sources, I believe them, and they have a track record of putting students and their safety first.

I think much of this has been pushed on them from outside sources, and they are trying to figure it out.

That said, I have zero doubt students come first. They are dealing with a couple other tough topics, and in those discussions students safety is their primary concern, when they could just look the other way, and let it happen. Because of that and recent discussions with administration and school board members, I tend to believe students safety is first.

Mike was upset that teams would not be allowed to use it, I have been assured they will be first in the order.

Let's see what develops and with everything in Lakewood, keep an eye on it for any problems.

Fair enough?

.
Jim O'Bryan
Lakewood Resident

"The very act of observing disturbs the system."
Werner Heisenberg

"If anything I've said seems useful to you, I'm glad.
If not, don't worry. Just forget about it."
His Holiness The Dalai Lama
Bridget Conant
Posts: 2896
Joined: Wed Jul 26, 2006 4:22 pm

Re: High School Indoor Track not for Student Use?

Post by Bridget Conant »

I hope Christine Gordillo can answer a few more questions?

Who paid for this “community fitness center?”

Who receives the membership monies?

What fund will that money go into and how are they planning on using it?

Will there be metal detectors at the facility? If not, how do you plan to insure that no weapons enter the school building?

Since we are giving access to the school building, and in extension to our student population, will members be required to have a criminal background check performed? I mean, school aides and substitutes apparently must have one, correct?

How does the school prevent a pedophile from joining to have access to young men and women in the building?

I’d like to understand how our children will be protected - the facility isn’t even limited to residents so virtually anyone can gain access to the building.

There aren’t any suburbs that I am aware of that allow this level of access to a public school building. Virtually all rec centers are located as free standing facilities and are NOT located INSIDE A SCHOOL BUILDING.
User avatar
Jim O'Bryan
Posts: 14196
Joined: Thu Mar 10, 2005 10:12 pm
Location: Lakewood
Contact:

Re: High School Indoor Track not for Student Use?

Post by Jim O'Bryan »

Bridget Conant wrote:I hope Christine Gordillo can answer a few more questions?

Who paid for this “community fitness center?”

Who receives the membership monies?

What fund will that money go into and how are they planning on using it?

Will there be metal detectors at the facility? If not, how do you plan to insure that no weapons enter the school building?

Since we are giving access to the school building, and in extension to our student population, will members be required to have a criminal background check performed? I mean, school aides and substitutes apparently must have one, correct?

How does the school prevent a pedophile from joining to have access to young men and women in the building?

I’d like to understand how our children will be protected - the facility isn’t even limited to residents so virtually anyone can gain access to the building.

There aren’t any suburbs that I am aware of that allow this level of access to a public school building. Virtually all rec centers are located as free standing facilities and are NOT located INSIDE A SCHOOL BUILDING.
Bridget

It should be noted the facility is only open to the public from 6am - 9pm.

Another interesting question is, all community fitness facilities lose money, when and if this one does, who makes up the losses?

.
Jim O'Bryan
Lakewood Resident

"The very act of observing disturbs the system."
Werner Heisenberg

"If anything I've said seems useful to you, I'm glad.
If not, don't worry. Just forget about it."
His Holiness The Dalai Lama
Bridget Conant
Posts: 2896
Joined: Wed Jul 26, 2006 4:22 pm

Re: High School Indoor Track not for Student Use?

Post by Bridget Conant »

It should be noted the facility is only open to the public from 6am - 9pm.
Yes and children are there from what, 7am-4pm?

There are serious issues of safety here. Quit trying to make excuses.

I’m waiting for Christine Gordillo to respond.

Surely, they have answers to these important questions? I am a taxpayer and will vote in the next levy campaign. :wink:
Bridget Conant
Posts: 2896
Joined: Wed Jul 26, 2006 4:22 pm

Re: High School Indoor Track not for Student Use?

Post by Bridget Conant »

Honestly, for a mere $270 a year, any pedophile interested in kids can get access to the school building virtually all day long.

I hate to break it to these clueless boobs who thought this idea was good, but pedophiles don’t carry any ID card that identifies them. Anyone, regardless of if they have a valid drivers license, which is apparently all they will need to enter the facilities, could enter the building and stalk kids.

Again, what other school District has a Reccenter located in a public school building that is currently in use for teaching?
Bridget Conant
Posts: 2896
Joined: Wed Jul 26, 2006 4:22 pm

Re: High School Indoor Track not for Student Use?

Post by Bridget Conant »

Another question for school spokesperson Christine Gordillo.

I have heard that both school and city employees will have free access to the facility, as in NO COST TO THEM.

Is this true for school employees and board members?

Is this true for city administrators and employees?
Bridget Conant
Posts: 2896
Joined: Wed Jul 26, 2006 4:22 pm

Re: High School Indoor Track not for Student Use?

Post by Bridget Conant »

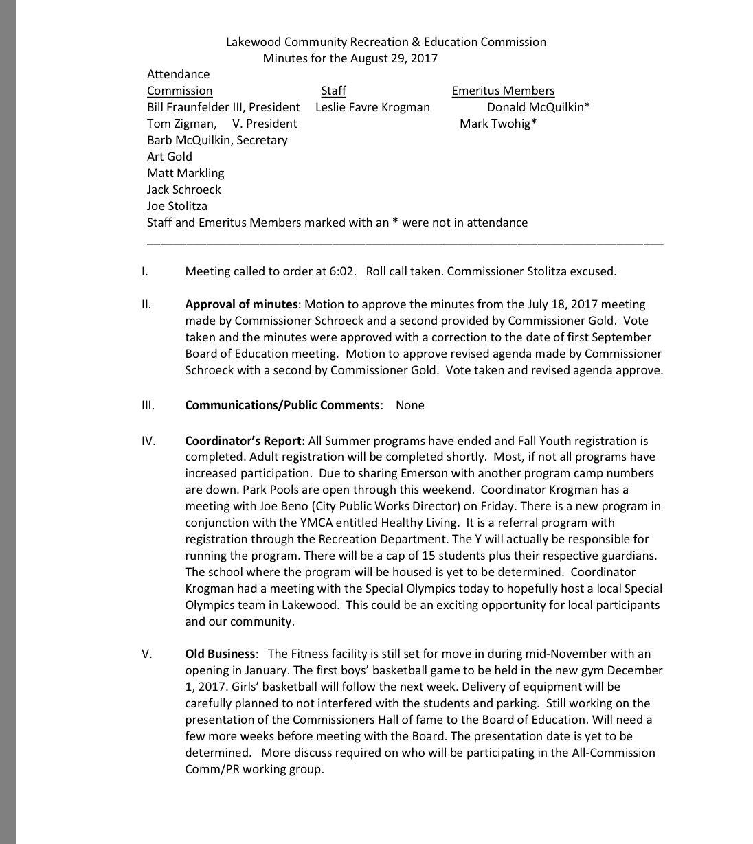
Here are the members of the Community Recreation and Education Commission. They should be able to answer questions about this facility, right?
45E1DA7A-6DB3-4033-A651-03A7D2F9D6B1.jpeg
45E1DA7A-6DB3-4033-A651-03A7D2F9D6B1.jpeg (358.5 KiB) Viewed 4261 times
cmager
Posts: 697
Joined: Fri Feb 19, 2016 8:33 am

Re: High School Indoor Track not for Student Use?

Post by cmager »

"...the Commissioners Hall of Fame..."
Seriously?
Mark Kindt
Posts: 2654
Joined: Sat Dec 03, 2016 11:06 am

Re: High School Indoor Track not for Student Use?

Post by Mark Kindt »

I concur with all of the questions and comments made by Ms. Conant. They are spot-on.

Let me add a couple of my own:

Why has the School District decided to enter the business market for adult physical fitness services?

Why is a government agency competing with those private Lakewood businesses that offer adult physical fitness services?

Why is a government agency competing and then offering below market-rate pricing for adult physical fitness services?

Isn't this a rather sharp deterrent to the enterprising young business person who has a goal of starting their fitness business in Lakewood?
Post Reply