Questioning The Redevelopment of the Former Hospital Site
Moderator: Jim O'Bryan
-
Mark Kindt
- Posts: 2654
- Joined: Sat Dec 03, 2016 11:06 am
Re: Questioning The Redevelopment of the Former Hospital Site
In "Civic Accountability -- Honesty in Local Government I", I presented the case that the city administration was making material financial misrepresentations to the holders of its municipal bonds in violation of federal securities law.
While the city administration clearly feels that it can make any misrepresentation it wants to its citizens, their council-members, and our local courts, it just can't be this cavalier with its bond-holders, the bond market, or the Securities and Exchange Commission without risk.
The recent 2018 appraisal of the former hospital site was all about this kind of "creative" accounting. Yes, somehow the appraiser "missed" the fact that there was an actual building sitting on the real estate that they were appraising. Why? Because the owner of the building (our city) instructed them to ignore it.
An official appraisal was propounded at the specific request of council-members that excluded the value of the actual hospital building! So, we now have an appraisal that is shorted on a building value that is likely in the multi-million dollar range.
Yes, this is a building that the city owns, but try to find that building on the city's books.
My final point is that the city administration is representing that they are participating in an investment. Another misrepresentation to the bond market, perhaps?
(For those public relations professionals or lawyers that might come across this, please take the time to read the U.S. SEC Statement known as the "SEC Harrisburg Release". It is easily found online.)
While the city administration clearly feels that it can make any misrepresentation it wants to its citizens, their council-members, and our local courts, it just can't be this cavalier with its bond-holders, the bond market, or the Securities and Exchange Commission without risk.
The recent 2018 appraisal of the former hospital site was all about this kind of "creative" accounting. Yes, somehow the appraiser "missed" the fact that there was an actual building sitting on the real estate that they were appraising. Why? Because the owner of the building (our city) instructed them to ignore it.
An official appraisal was propounded at the specific request of council-members that excluded the value of the actual hospital building! So, we now have an appraisal that is shorted on a building value that is likely in the multi-million dollar range.
Yes, this is a building that the city owns, but try to find that building on the city's books.
My final point is that the city administration is representing that they are participating in an investment. Another misrepresentation to the bond market, perhaps?
(For those public relations professionals or lawyers that might come across this, please take the time to read the U.S. SEC Statement known as the "SEC Harrisburg Release". It is easily found online.)
-
Dan Alaimo
- Posts: 2140
- Joined: Fri Apr 23, 2010 8:49 am
Re: Questioning The Redevelopment of the Former Hospital Site
A story related to developing more retail in Lakewood. I may have seen one or two other such links in these various discussions.
Malls are the emptiest they've been in 6 years
https://www.retaildive.com/news/malls-a ... rs/527050/
Malls are the emptiest they've been in 6 years
https://www.retaildive.com/news/malls-a ... rs/527050/
“Never let a good crisis go to waste." - Winston Churchill (Quote later appropriated by Rahm Emanuel)
-
Mark Kindt
- Posts: 2654
- Joined: Sat Dec 03, 2016 11:06 am
Re: Questioning The Redevelopment of the Former Hospital Site
Now, we can see why the City of Lakewood is willing to agree to a plan for future incentives to the occupants of One Lakewood Place. Occupancy in the development will require public subsidies in its early years to overcome adverse vacancy trends.
Two documents will largely govern the future of Lakewood in the next decade.
The first document is the Master Agreement between the City and the Clinic; and the additional agreements that flow from that document.
The second document is the agreement (or agreements) between the City and its selected developer that is currently under negotiation.
These two documents chart the future of the City between 2015 and 2025.
Each agreement represents massive transfers of public wealth to private entities.
Is the mayor's plan of urban transformation sustainable? Unlikely.
How does it become sustainable? Future tax increases or reductions in services or both.
Two documents will largely govern the future of Lakewood in the next decade.
The first document is the Master Agreement between the City and the Clinic; and the additional agreements that flow from that document.
The second document is the agreement (or agreements) between the City and its selected developer that is currently under negotiation.
These two documents chart the future of the City between 2015 and 2025.
Each agreement represents massive transfers of public wealth to private entities.
Is the mayor's plan of urban transformation sustainable? Unlikely.
How does it become sustainable? Future tax increases or reductions in services or both.
-
Jared Denman
- Posts: 60
- Joined: Wed Feb 18, 2015 1:30 pm
Re: Questioning The Redevelopment of the Former Hospital Site
And there is a lot of precedent for city administrations creating slush funds under the guise of "economic development." Here is one example from Chicago where a group of independent researchers with the TIFF Illumination Project found an estimated $1.44 billion in TIF accounts. They are currently in a pitched legal battle to get the ground level financials revealing where the money is going to.
http://www.mychinews.com/local-chicago- ... y-tax-scam
According to the Ohio Development Agency Lakewood has two TIFs. Makes you wonder whether a TIF zone is being created for One Lakewood Place.
http://www.mychinews.com/local-chicago- ... y-tax-scam
According to the Ohio Development Agency Lakewood has two TIFs. Makes you wonder whether a TIF zone is being created for One Lakewood Place.
-
Peter Grossetti
- Posts: 1533
- Joined: Wed Jun 15, 2011 10:43 pm
Re: Questioning The Redevelopment of the Former Hospital Site
TIFs accelerate (here’s that word again) gentrification.
"So, let's make the most of this beautiful day.
Since we're together we might as well say:
Would you be mine? Could you be mine?
Won't you be my neighbor?"
~ Fred (Mr. Rogers) Rogers
Since we're together we might as well say:
Would you be mine? Could you be mine?
Won't you be my neighbor?"
~ Fred (Mr. Rogers) Rogers
-
Dan OMalley
- Posts: 167
- Joined: Wed Jun 03, 2015 4:33 pm
Re: Questioning The Redevelopment of the Former Hospital Site
There is not.Jared Denman wrote:Makes you wonder whether a TIF zone is being created for One Lakewood Place.
Dan O'Malley
-
Mark Kindt
- Posts: 2654
- Joined: Sat Dec 03, 2016 11:06 am
Re: Questioning The Redevelopment of the Former Hospital Site
To Mr. Denman's point, the "Sloane Avenue Incentive District" sets a local precedent for TIF incentives (tax abatement/deferrals) for high-end townhouse development in Lakewood.
In the term sheet that was voted on by council (May 2018), there is an express reservation of the City's right to provide future incentives to One Lakewood Place.
We will not know what these incentives actually are until the agreement with the selected developer becomes public. Even then we might not know, as future incentives are unrolled.
This is my point about these contracts governing the future policies of the City of Lakewood. The Master Agreement has been in place for two and a half-years now and the public is only beginning to understand its full effects (both positive and negative).
I appreciate Council-Member O'Malley's assurance that TIF incentives are not part of the One Lakewood Place development.
In the term sheet that was voted on by council (May 2018), there is an express reservation of the City's right to provide future incentives to One Lakewood Place.
We will not know what these incentives actually are until the agreement with the selected developer becomes public. Even then we might not know, as future incentives are unrolled.
This is my point about these contracts governing the future policies of the City of Lakewood. The Master Agreement has been in place for two and a half-years now and the public is only beginning to understand its full effects (both positive and negative).
I appreciate Council-Member O'Malley's assurance that TIF incentives are not part of the One Lakewood Place development.
-
Mark Kindt
- Posts: 2654
- Joined: Sat Dec 03, 2016 11:06 am
Re: Questioning The Redevelopment of the Former Hospital Site
See following post.
-
Mark Kindt
- Posts: 2654
- Joined: Sat Dec 03, 2016 11:06 am
Re: Questioning The Redevelopment of the Former Hospital Site
Clarification:Mark Kindt wrote:To Mr. Denman's point, the "Sloane Avenue Incentive District" sets a local precedent for TIF incentives (OR tax abatement/deferrals) for high-end townhouse development in Lakewood.
In the term sheet that was voted on by council (May 2018), there is an express reservation of the City's right to provide future incentives to One Lakewood Place.
We will not know what these incentives actually are until the agreement with the selected developer becomes public. Even then we might not know, as future incentives are unrolled.
This is my point about these contracts governing the future policies of the City of Lakewood. The Master Agreement has been in place for two and a half-years now and the public is only beginning to understand its full effects (both positive and negative).
I appreciate Council-Member O'Malley's assurance that TIF incentives are not part of the One Lakewood Place development.
Let me make it clear that Tax Increment Financing (TIF) is not the same as tax abatement. I have blurred the distinction in my post above.
With tax increment, the new valuation is subject to taxation, but most of the revenues produced by the taxes levied against that valuation by the city, county and school district are allocated back to the City as tax increment revenues, and may be used for economic development activities (often to the detriment of the needs of a school district or other governmental authority).
With abatement, the valuation related to the new construction or improvement is kept off the tax rolls for a period of time, thereby reducing the amount of property taxes to be paid by the property owner.
Abatement provides a direct benefit to the person who is ultimately responsible for paying the property taxes; increment provides new revenues to be used by the City for public improvements and facilities, as well as incentives to developers.
-
Mark Kindt
- Posts: 2654
- Joined: Sat Dec 03, 2016 11:06 am
Re: Questioning The Redevelopment of the Former Hospital Site
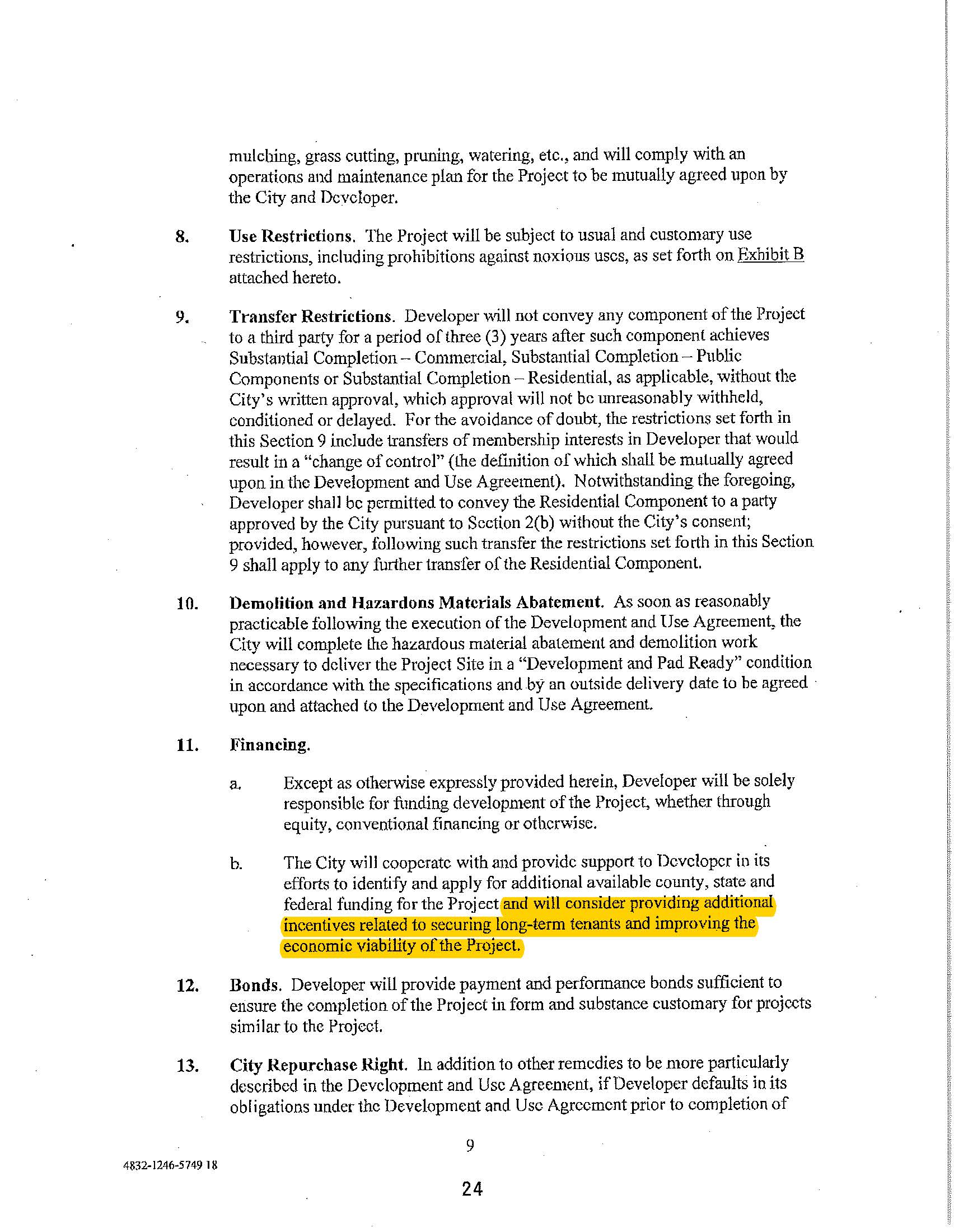
A Little More On The Black Hole Issue
Note the highlighted text in the term-sheet with the selected developer. How much more will Lakewood taxpayers be on the hook for?
Note the highlighted text in the term-sheet with the selected developer. How much more will Lakewood taxpayers be on the hook for?
-
Stan Austin
- Contributor
- Posts: 2465
- Joined: Tue Mar 15, 2005 12:02 pm
- Contact:
Re: Questioning The Redevelopment of the Former Hospital Site
Seems to be an open ended invitation to loser and unattractive business's
-
Jared Denman
- Posts: 60
- Joined: Wed Feb 18, 2015 1:30 pm
Re: Questioning The Redevelopment of the Former Hospital Site
While I appreciate Mr. O'Malley's input, I am hard pressed to grant the benefit of the doubt to anyone who- paying even the most passing attention to these matters esp a sitting council member- believes anything coming out of City Hall.
To Mr. Kindt's reiteration of the clause in black and white that the City can sweeten the pot for Carnegie at any point let me add the misrepresentation of facts about the City's ownership of the property, the subtraction of the value of the building sitting on that property, failing to inform bondholders that the hospital was ultimately being decanted, multiple conflicts of interest including the Mayor emailing a Clinic lawyer recommending clarification on where the money from the sale goes, the use of taxpayer funds to pay for a PR campaign to peddle these falsehoods, and keeping on City staff a man with a criminal background that harassed citizens that dissented with City Hall's lockstep march.
In the face of this evidence, perhaps Mr. O'Malley should be doing due diligence and writing a letter to the state AG's office requesting an investigation into these matters.
To Mr. Kindt's reiteration of the clause in black and white that the City can sweeten the pot for Carnegie at any point let me add the misrepresentation of facts about the City's ownership of the property, the subtraction of the value of the building sitting on that property, failing to inform bondholders that the hospital was ultimately being decanted, multiple conflicts of interest including the Mayor emailing a Clinic lawyer recommending clarification on where the money from the sale goes, the use of taxpayer funds to pay for a PR campaign to peddle these falsehoods, and keeping on City staff a man with a criminal background that harassed citizens that dissented with City Hall's lockstep march.
In the face of this evidence, perhaps Mr. O'Malley should be doing due diligence and writing a letter to the state AG's office requesting an investigation into these matters.
-
Stan Austin
- Contributor
- Posts: 2465
- Joined: Tue Mar 15, 2005 12:02 pm
- Contact:
Re: Questioning The Redevelopment of the Former Hospital Site
Back in the day I remember toking up and starting a wild and rambling dope conversation with my pals that tested the limits of common sense and credulous scenarios. Is this the process that is used nowadays to come up with these ludicrous agreements? (7 Eleven always had "ready to eat" treats available !)
-
Bridget Conant
- Posts: 2896
- Joined: Wed Jul 26, 2006 4:22 pm
Re: Questioning The Redevelopment of the Former Hospital Site
I always read these “agreements” and think - Somebody knew what they were doing!
And it WAS NOT the city!
Could they have made it any more favorable for the “developer?”
Free land, site cleared and prepped, future subsidies to attract and support tenants ....
Not seeing where the developer is shouldering much, if any, of the risk.
Yet I recall over 2 years ago the mayor thumping his chest and proclaiming that “”NATIONAL developers were interested in the hospital parcel.”
HAHA! What did we get?
An Ed Fitzgerald deal.
And it WAS NOT the city!
Could they have made it any more favorable for the “developer?”
Free land, site cleared and prepped, future subsidies to attract and support tenants ....
Not seeing where the developer is shouldering much, if any, of the risk.
Yet I recall over 2 years ago the mayor thumping his chest and proclaiming that “”NATIONAL developers were interested in the hospital parcel.”
HAHA! What did we get?
An Ed Fitzgerald deal.
-
cmager
- Posts: 697
- Joined: Fri Feb 19, 2016 8:33 am
Re: Questioning The Redevelopment of the Former Hospital Site
I too look forward to Mr. O'Malley's letter to the State AG requesting an investigation. Mr. O'Malley?Jared Denman wrote:While I appreciate Mr. O'Malley's input, I am hard pressed to grant the benefit of the doubt to anyone who- paying even the most passing attention to these matters esp a sitting council member- believes anything coming out of City Hall.
To Mr. Kindt's reiteration of the clause in black and white that the City can sweeten the pot for Carnegie at any point let me add the misrepresentation of facts about the City's ownership of the property, the subtraction of the value of the building sitting on that property, failing to inform bondholders that the hospital was ultimately being decanted, multiple conflicts of interest including the Mayor emailing a Clinic lawyer recommending clarification on where the money from the sale goes, the use of taxpayer funds to pay for a PR campaign to peddle these falsehoods, and keeping on City staff a man with a criminal background that harassed citizens that dissented with City Hall's lockstep march.
In the face of this evidence, perhaps Mr. O'Malley should be doing due diligence and writing a letter to the state AG's office requesting an investigation into these matters.