Bridget Conant wrote:Doesn't the city have a hiring policy that requires a background check? Most municipalities require that for new hires. Does Lakewood not do that?
Was a background check check not performed prior to hiring? Or, perhaps worse, was the report done but ignored?
This is concerning.
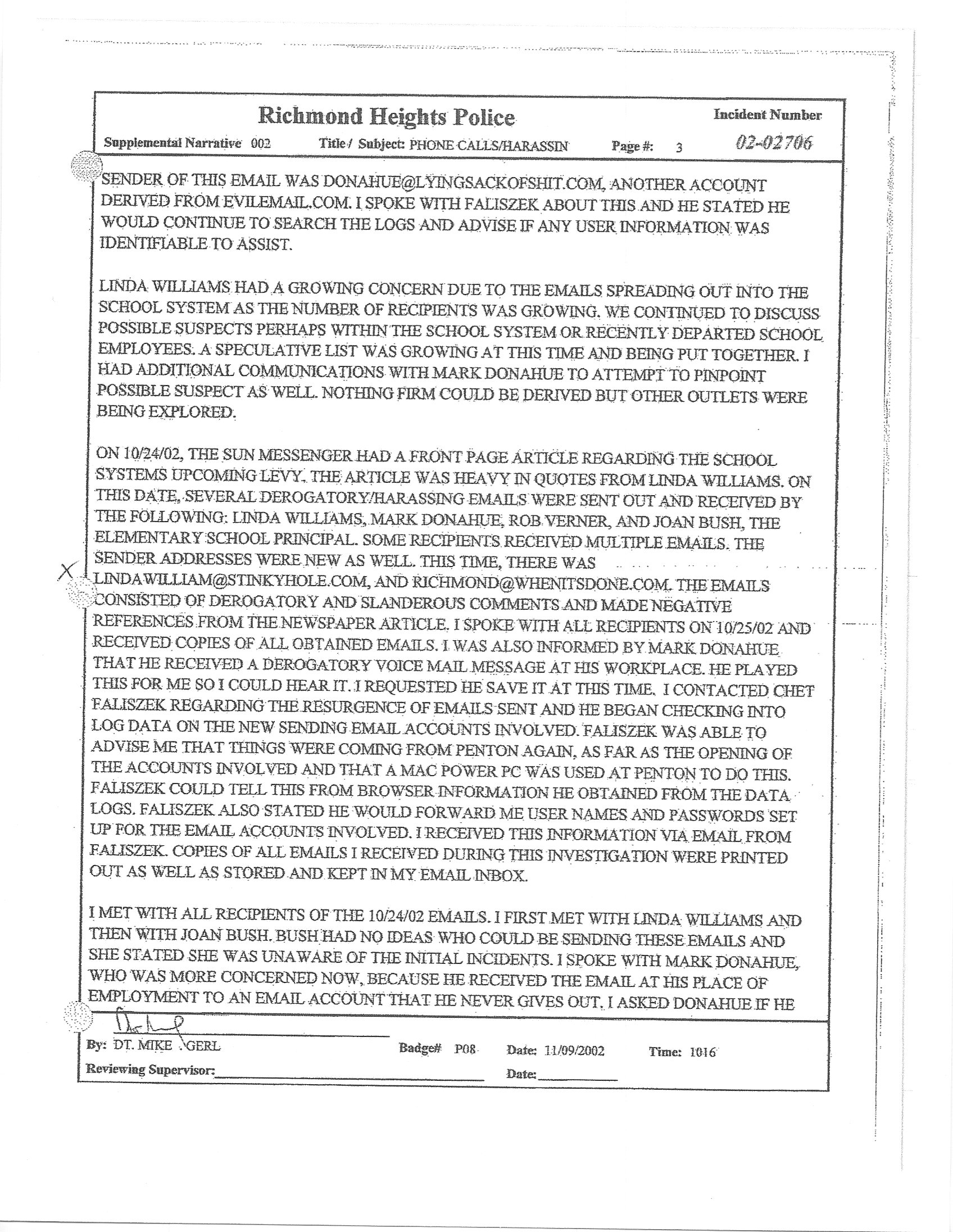
The public records make clear that the perpetrator used the computer of his then employer, Penton Media, to send many emails.
“Derogatory and Slanderous” emails were sent from the following email “Evil Email.com” accounts:
1. “<Jay Miner>
Debbyis@freakingretard.com”
2.
Danhue@lyingsackofshit.com
3.
LindaWilliam@StinkyHole.com
My guess is that Penton Media would have terminated him for that conduct.
So it appears that Summers and Siley did not even look at his past employment history.
Public records show that the hiree was friendly with Siley prior to being hired and I was told that he also worked on Summers' prior election campaign.
How is city hall being run?
This guy was hired by Summers in early 2015--an election year.
Was he hired as the quid pro quo to do the dirty work for Summers' 2015 campaign?
The report indicates he caused a lot of concern and trouble among his enemies at the Richmond Heights School system.

- scan0031.jpg (817.98 KiB) Viewed 4318 times