UPDATE: City Complies With Court Order And Finally Produces Documents

The jumping off discussion area for the rest of the Deck. All things Lakewood.
Please check out our other sections. As we refile many discussions from the past into
their proper sections please check them out and offer suggestions.

Moderator: Jim O'Bryan

Mark Kindt
Posts: 2654
Joined: Sat Dec 03, 2016 11:06 am

Re: UPDATE: City Complies With Court Order And Finally Produces Documents

Post by Mark Kindt »

Let's See The Document Page-By-Page -- You Be The Judge -- Page Four
T-H Memorandum 4-21-2015_Page_004.jpg
T-H Memorandum 4-21-2015_Page_004.jpg (410.13 KiB) Viewed 3383 times
Mark Kindt
Posts: 2654
Joined: Sat Dec 03, 2016 11:06 am

Re: UPDATE: City Complies With Court Order And Finally Produces Documents

Post by Mark Kindt »

Let's See The Document Page-By-Page -- You Be The Judge -- Page Five
T-H Memorandum 4-21-2015_Page_005.jpg
T-H Memorandum 4-21-2015_Page_005.jpg (478.7 KiB) Viewed 3383 times
Mark Kindt
Posts: 2654
Joined: Sat Dec 03, 2016 11:06 am

Re: UPDATE: City Complies With Court Order And Finally Produces Documents

Post by Mark Kindt »

Let's See The Document Page-By-Page -- You Be The Judge -- Page Six
T-H Memorandum 4-21-2015_Page_006.jpg
T-H Memorandum 4-21-2015_Page_006.jpg (353.98 KiB) Viewed 3382 times
Mark Kindt
Posts: 2654
Joined: Sat Dec 03, 2016 11:06 am

Re: UPDATE: City Complies With Court Order And Finally Produces Documents

Post by Mark Kindt »

Let's See The Document Page-By-Page -- You Be The Judge -- Page Seven
T-H Memorandum 4-21-2015_Page_007.jpg
T-H Memorandum 4-21-2015_Page_007.jpg (390.76 KiB) Viewed 3380 times
Mark Kindt
Posts: 2654
Joined: Sat Dec 03, 2016 11:06 am

Re: UPDATE: City Complies With Court Order And Finally Produces Documents

Post by Mark Kindt »

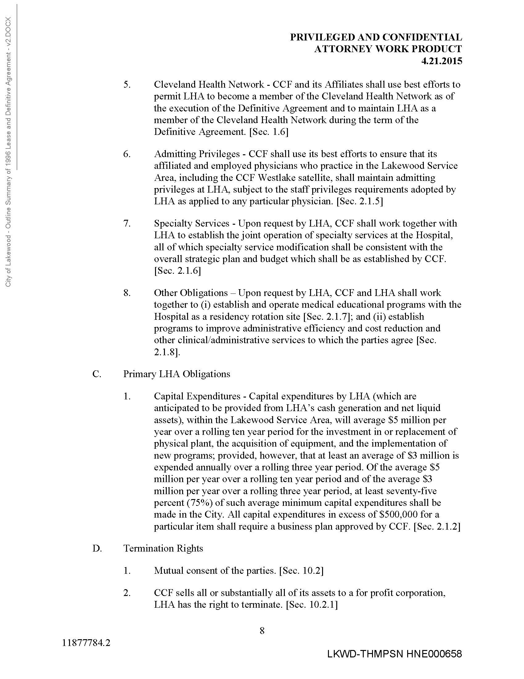
Let's See The Document Page-By-Page -- You Be The Judge -- Page Eight
T-H Memorandum 4-21-2015_Page_008.jpg
T-H Memorandum 4-21-2015_Page_008.jpg (378.31 KiB) Viewed 3380 times
Mark Kindt
Posts: 2654
Joined: Sat Dec 03, 2016 11:06 am

Re: UPDATE: City Complies With Court Order And Finally Produces Documents

Post by Mark Kindt »

Let's See The Document Page-By-Page -- You Be The Judge -- Page Nine
T-H Memorandum 4-21-2015_Page_009.jpg
T-H Memorandum 4-21-2015_Page_009.jpg (233.99 KiB) Viewed 3376 times
Stan Austin
Contributor
Posts: 2465
Joined: Tue Mar 15, 2005 12:02 pm
Contact:

Re: UPDATE: City Complies With Court Order And Finally Produces Documents

Post by Stan Austin »

Now I'm no attorney but a quick perusal of the highlights tells me that the demolition shou ld stop right now and and CCF ought to be checking their checkbook to see if they have the funds to cover a $200 million dollar check to us e.g. City of Lakewood. After that is taken care of then maybe the team that is investigating the County can turn their attention to Lakewood and formerly Lakewood Hospital officials.
Stan Austin
Mark Kindt
Posts: 2654
Joined: Sat Dec 03, 2016 11:06 am

Re: UPDATE: City Complies With Court Order And Finally Produces Documents

Post by Mark Kindt »

As citizens of Lakewood, we have year-by-year witnessed the most brazen and well-lawyered heist of public assets and public rights -- a heist and looting of our public hospital rife with documented conflicts-of-interest, massive self-dealing, and asset-stripping -- with an extraordinary cover-up right down to false affidavits filed in the local courts.

Brick dust now rises into the air from the demolition as I write this.
Post Reply