Page 2 of 4
Re: Honesty In Local Government V
Posted: Sun Apr 15, 2018 9:17 am
by Mark Kindt
The Decanting Plan
Already, on these pages from a report dated November 30, 2012 from the Clinic's architectural firm, we see a description of the decanting plan and time frame for the closure and demolition of Lakewood Hospital.
If you look carefully at the schematics in the right column you can see that they appear to be reduced-scale images of the schematics posted above and in the Clinic plan for Lakewood.
In 2012, we can see that The Cleveland Clinic is deep in its planning stages to close Lakewood Hospital.
Re: Honesty In Local Government V
Posted: Sun Apr 15, 2018 9:23 am
by Mark Kindt
Demolition of Lakewood Hospital
The schematic for Phase Three represents the demolition of Lakewood Hospital during 2016-2017.
Looks like they are now running about a year behind their 2012 schedule.
Re: Honesty In Local Government V
Posted: Sun Apr 15, 2018 10:04 am
by Mark Kindt
And, again to avoid allegations that I am just "cherry-picking" the documents, I attach the complete copy of the Clinic's architect's Master Plan related to the decanting of Lakewood Hospital to Fairview.
So, now we can again see that the Mayor and Subsidium are launching an epic falsehood ("big lie') in their emails dated November 1, 2013 about some sort of a change in healthcare services by 2026.
The plan is fully-fashioned by 2012. Here's the planning chart for the decanting, too.
Re: Honesty In Local Government V
Posted: Sun Apr 15, 2018 10:55 am
by Mark Kindt
It Is All One Big Charade
Now that we have reviewed the Clinic's plan to close Lakewood Hospital and the Clinic's plan to expand its Fairview Hospital, we can see that there is quite a charade underway.
We can imagine public officials in Avon reviewing Clinic slide decks and architect plans for a new hospital there.
While our mayor is reviewing Clinic plans to close our hospital, the mayor of Avon is reading the announcement of a new Clinic hospital for his community.
Here's the link to the announcement:
http://www.cleveland.com/avon/index.ssf ... s_pla.html
Query: Who got the new model of healthcare -- Lakewood or Avon?
Avon got the new hospital. We got "spin" about being the "healthiest city" under "a new model of healthcare".
Today, Mr. Call, in another thread, describes how various third-party entities got the economic benefits of the closure and liquidation of Lakewood Hospital.
Re: Honesty In Local Government V
Posted: Sun Apr 15, 2018 2:37 pm
by Mark Kindt
From the documents that I posted today, we can see that in 2012 the Clinic and its architects were deeply engaged in planning and designing the new medical office building to replace Lakewood Hospital.
This has all been completed, including timelines for closing and decanting Lakewood Hospital to other Clinic facilities, before Subsidium is even hired as a consultant.
We are witnessing a comprehensive planning process that is far along involving multiple Clinic facilities, including the city-owned facility that it only leases.
From the sophistication and depth of this planning process, I infer that the Clinic was confident that it could execute its plan with respect to closing Lakewood Hospital, regardless of its public ownership.
In my next several posts, we will review more Subsidium documents to see if we can gauge how independent Subsidium was of Clinic influence or control.
Re: Honesty In Local Government V
Posted: Sun Apr 15, 2018 3:48 pm
by Mark Kindt
The City Denied That Subsidium Was Its Consultant
The City has denied that it had a contractual relationship with Subsidium.
From the blacked-out draft Subsidium consulting agreement (LKWD-PRR158-001415), we know that a very senior attorney at the Clinic was involved in editing or commenting upon a minor consulting agreement.
We also know that legally, the Cleveland Clinic is the sole member of Lakewood Hospital Association.
In this document, can see that LHA was being invoiced by Subsidium for services. (As a courtesy, I have redacted bank routing numbers.)
Subsidium Healthcare was not a paid consultant for the City of Lakewood.
Re: Honesty In Local Government V
Posted: Mon Apr 16, 2018 9:49 am
by Mark Kindt
The City Denied That Subsidium Was Its Consultant II
The City has denied that it had a contractual relationship with Subsidium.
Subsidium Healthcare was not a paid consultant for the City of Lakewood.
In this solicitation/offering document, Subsidium is representing that it is acting on behalf of the City of Lakewood ("the municipality') in the sale of a community hospital.
Again, this document is written confirmation that the City of Lakewood owned Lakewood Hospital.
Re: Honesty In Local Government V
Posted: Mon Apr 16, 2018 11:20 am
by Mark Kindt
Here Ms. Fyre of Subsidium Healthcare confirms that they have returned the signed consulting agreement to Mr. Meehan. The agreement was not returned to the City of Lakewood Law Department.
Yet, here we see the beginning of another charade.
From the invoice that I previous posted, Subsidium is sending its invoices to City Hall, not the Lakewood Hospital Association. Why?
In less than a month from this email, Subsidium is reviewing the Clinic's architect's plans to close Lakewood Hospital and replace it with a medical office building with an emergency department.
Re: Honesty In Local Government V
Posted: Mon Apr 16, 2018 12:42 pm
by Mark Kindt
Who Is Managing The Subsidium Healthcare Consulting Agreements?
The short answer to this question appears to be The Cleveland Clinic Regional Hospitals.
At this time, Dr. Bronson was President of The Cleveland Clinic Regional Hospitals
Mr. Meehan was Secretary and General Counsel of The Cleveland Clinic Regional Hospitals
This email relates to a renewal of the Subsidium consulting agreement.
Re: Honesty In Local Government V
Posted: Mon Apr 16, 2018 3:28 pm
by Bill Call
Excellent reporting.
All should take notice of the mention of a wellness center, aka, recreation center, the mention of decanting plan and the mention of a surgery center.
The Mayor and his supporters hid the plans for the rec center from the public. We only found out about them through the discovery process. They also publicly denied the existence of any plans for a rec center.
As I recall the Clinic representatives denied any knowledge of a decanting plan. Oh well, after you have lied so many times even the lier forgets the truth.
Some where along the line the plan for a surgery center in Lakewood was abandoned.
Re: Honesty In Local Government V
Posted: Mon Apr 16, 2018 4:35 pm
by Nadhal Eadeh
Mark,
You’ve done a great public service by exposing the falsehoods pushed forth by this administration.
Nadhal
Re: Honesty In Local Government V
Posted: Mon Apr 16, 2018 4:55 pm
by Mark Kindt
A Deeply Flawed Process From Its Very Beginning
These documents establish that the Cleveland Clinic had a "Master Plan" that included the closure of Lakewood Hospital, the relocation of its services to other Clinic facilities and a demolition schedule for Lakewood Hospital; all laid-out in sophisticated detail by its architectural firm in 2012.
These document reflect the fact that Subsidium Healthcare was not acting independently as a consultant for the City of Lakewood for the disposition of City-owned assets and contractual rights.
The integrity of the Lakewood Hospital Association process with Subsidum Healthcare was flawed by direct conflicts-of-interest from its very inception.
1. Subsidium was not under contract to the City of Lakewood;
2. Subsidium was retained either by Lakewood Hospital Association or the Cleveland Clinic;
3. Subsidium contracts were subject to legal review and management review by senior employees at the Cleveland Clinic;
4. Subsidium contracts were funded either by Lakewood Hospital Association or the Cleveland Clinic; some funding decisions were likely made by a senior employee at the Cleveland Clinic.
5. The majority of LHA Trustees that worked with Subsidium as the "Step-Two Committee" had material conflicts-of-interest stemming from relationships with the Cleveland Clinic or the Lakewood Hospital Foundation.
I want to return to the point that I made earlier. Any current or former public official in the State of Ohio would understand that a consulting arrangement like this would be unworkable for any public contract.
Lakewood Hospital was a City-owned community hospital worth tens of millions of dollars.
Re: Honesty In Local Government V
Posted: Mon Apr 16, 2018 4:58 pm
by Jim O'Bryan
Nadhal Eadeh wrote:Mark,
You’ve done a great public service by exposing the falsehoods pushed forth by this administration.
Nadhal
Nadhal
Mark is gold. He came into this, not wanting to believe it, and through hundreds of hours, reading the documents, not listening to bullshit has discovered the truth. It is not different than Brian Essi, who came in not wanting to believe it, a huge Summers supporter, than Summers lied to him, and he went for the documents, and read them. Not listening to the bullshit, and discovered City Hall had lied to residents. Along the way they have been attacked, marginalized even threatened by City Hall employees, and people working on the Mayor's campaign. But through hundreds of hours they have seen the truth, and this is why they are gold.
Over 7 lawyers have donated thousands of hours to look at the documents, defend residents, and sort through the lies and bullshit from City Hall. They are still marginalized, by Summers supporters, and people that would rather believe bullshit than read one single documents.
City Hall has become a criminal enterprise. It is time for the Feds to step in.
Bill Call
Brian Essi, Mark Kinday, Matt Markling, Donna Kolis, Mark Dan and others have discovered the documents and the truth. But the "Rec Center" was discovered back in the winter of 2014, and appeared in a Rob Masek Lakewoodites cartoon in the first issue of the Lakewood Observer in 2015. Mayor Summers, Jay Foran, Jen Pae, Dru Siley, Law Director Butler, Council People Tom Bullock, Mary Louise MAdigan, Shawn Juris, Brian Powers called us and the LO lairs.
Now we know, they were the liars in what is basically an enterprise to defraud the City of Lakewood of our most valuable asset.
.
Re: Honesty In Local Government V
Posted: Mon Apr 16, 2018 6:14 pm
by Nadhal Eadeh
Jim,
From a public spending on healthcare standpoint, the numbers reported by Subsidium were fraudulent on several levels. Council members had access to federal government reports on healthcare spending. The Department of Labor had these reports widely available.
1. Spending on healthcare in Northeast Ohio is actually growing. As others have pointed out, hospitals are being built all over the state. Healthcare was “only changing” in Lakewood.
2. These documents put forth by Mr. Kindt are a slam dunk for investigators from the Department of Justice or the Ohio Attorney Generals Office. All it takes is a couple of council members to write a letter to the DOJ and an investigation may happen. That’s what we call “political courage”.
3. Mr. Call, I also wrote the Plain Dealer asking why they have neglected the Lakewood Hospital public records request. I have not received a response.
4. Mr. Kindt, correct me if I’m wrong. The consultant used to conduct the healthcare study is now out of business?
Nadhal
Re: Honesty In Local Government V
Posted: Tue Apr 17, 2018 10:50 am
by Mark Kindt
A Deeply Flawed Process From Its Very Beginning II
The integrity of the Lakewood Hospital Association process with Subsidum Healthcare was flawed by direct conflicts-of-interest from its very inception.
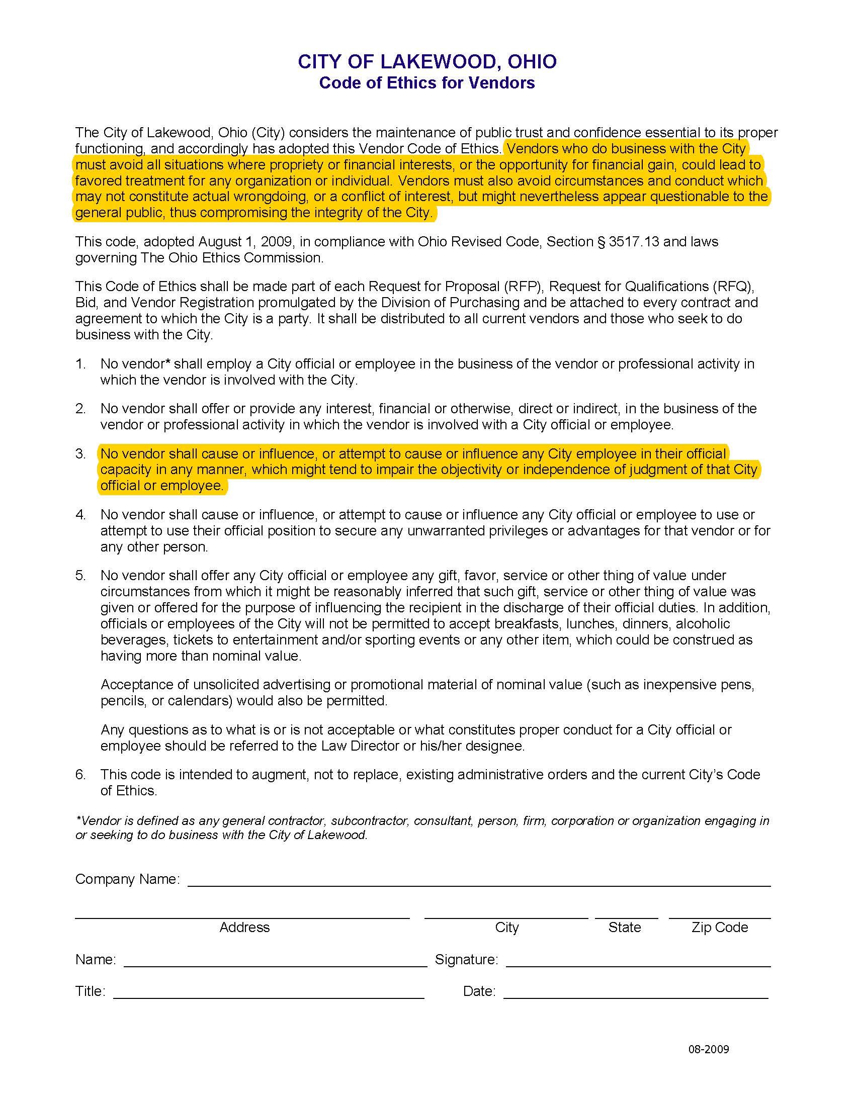
Looking at two more documents, we can also see that the integrity of this process was flawed from its inception, because it was in violation of the City of Lakewood's own Vendor Code of Ethics (and the Ohio Revised Code section that that code of ethics is based upon).

- LKWD-PRR158-003404.jpg (273.75 KiB) Viewed 5307 times

- Vendors Code Of Ethics Lakewood Ohio -- Highlighted.jpg (436.81 KiB) Viewed 5307 times