Page 2 of 6
Re: Be a part of shaping the future of the remaining funds from Lakewood Hospital
Posted: Sat Nov 11, 2017 4:32 pm
by Mark Kindt
The section provides the funding provisions:
Re: Be a part of shaping the future of the remaining funds from Lakewood Hospital
Posted: Sat Nov 11, 2017 4:43 pm
by Mark Kindt
From this we can see that the funds contributed by the Cleveland Clinic Foundation and interest earned on those funds will be segregated within the accounting of the New Foundation.
From this we can see that the Cleveland Clinic has a what is, in effect, a "veto" right (the right of first refusal) over the use of its segregated funds with regards to other applicants. It always gets first crack on any submitted grant proposal.
From this we can see that the New Foundation has no other source of funding at this time. If the New Foundation, has other funding sources, there should be no right of first refusal over those non-Clinic funds.
I just want to make sure that we are all looking at the same actual information.
It is clear from the plain language of the document, that these funds are here to benefit the community and residents of Lakewood.
It is clear from the plain language of these documents that a single CCF board member on the New Foundation will always be able to exercise the right of first refusal over the segregated funds.
We can expect these provisions of the Master Agreement to be fully embodied in the articles of incorporation and the formal bylaws of the New Foundation.
To summarize, the Cleveland Clinic has control over how all of the current contractual funding can be spent to benefit Lakewood residents.
However, clearly, the planning board has the ability to collect and make recommendations with respect to the scope of how the segregated funds are used to benefit the community and residents.
This scope can also be embodied in the articles of incorporation and formal bylaws of the New Foundation.
Re: Be a part of shaping the future of the remaining funds from Lakewood Hospital
Posted: Sat Nov 11, 2017 5:09 pm
by Mark Kindt
The non-Clinic board members of the New Foundation will not have any rights to direct the expenditure of the segregated funds until the Clinic board members have waived their right of first refusal.
This is all based on a reasonable reading of the Master Agreement.
The terms of the articles of incorporation and the formal bylaws could be stronger or weaker depending on how the lawyers draft all this up.
The language was somewhat better in the Letter of Intent.
Re: Be a part of shaping the future of the remaining funds from Lakewood Hospital
Posted: Sat Nov 11, 2017 6:15 pm
by Peter Grossetti
Mark Kindt wrote:
The language was somewhat better in the Letter of Intent.
Mark - “better” for whom?
Re: Be a part of shaping the future of the remaining funds from Lakewood Hospital
Posted: Sat Nov 11, 2017 11:39 pm
by cmager
Mr. Kindt,
1. Is the Clinic obligated to operate the FHC, or can they cease operation at some or any time (subject to provisions)?
2. If the Clinic ceased operation of the FHC, or even changed its scope of operation, can the Clinic walk away from the subsequent schedule of payments due the New Foundation?
In other words, do conditions exist that put the schedule of payments at risk of not being paid?
regards, Bill Mager
...by the way, I recall that the NPV of that lame schedule of payments is approx $16.5M, which Summers, Butler, and pals negotiated down from the negotiation goal of an NPV of $150-200M. Deplorable.
Re: Be a part of shaping the future of the remaining funds from Lakewood Hospital
Posted: Sun Nov 12, 2017 10:41 am
by Mark Kindt
We can also reasonably conclude that the appropriate executive at the Cleveland Clinic Foundation could exercise the right of first refusal established by the terms of the Master Agreement to "veto" a grant solicitation from a competitor or exercise its naming rights. It does not necessarily have to be exercised through its designated New Foundation board members.
Two hypothetical examples:
Example No. 1. National Bunion Prevention Association applies for $500,000 grant to conduct research on postal workers. CCF exercises its right of first refusal and receives the $500,000 grant to conduct this research at its own facilities with its own employees.
Example No. 2. National Bunion Prevention Association applies for $500,000 grant to conduct research on postal workers. CCF waives its right of first refusal and NBPA gets its grant, but CCF exercises its naming rights and this becomes identified as a CCF research project or a CCF-NBPA research project.
These are reasonable interpretations on how some of these contractual rights might work.
Re: Be a part of shaping the future of the remaining funds from Lakewood Hospital
Posted: Sun Nov 12, 2017 11:01 am
by Mark Kindt
To answer Mr. Grossetti's question. In the Letter of Intent, the right of first refusal did not apply to grant applications smaller than $500,000. This is my general recollection. I have not actually double-checked. Under the Letter of Intent, the right of first refusal was not as restrictive. Hypothetically, the New Foundations would have had more freedom and discretion to grant awards to its future grant applicants. That is no longer the case under the Master Agreement.
To answer Mr. Mager's questions. Under the Master Agreement, the Clinic has a contractual duty to make the payments set forth in Section 6. While the Clinic might choose to close the FHC at a future date, such a closure would not impair it funding obligations to the New Foundation.
I am not offering any sort of legal opinion here. This is my reasonable interpretation as a citizen. Those who disagree are, of course, free to comment in this thread or others.
Re: Be a part of shaping the future of the remaining funds from Lakewood Hospital
Posted: Sun Nov 12, 2017 11:14 am
by Mark Kindt
Finally, Section 4.4(b) does create a future contingency that should CCF close the FHC a year after all the payments have been made, then the funds provided by CCF under the Master Agreement would not be restricted by the right of first refusal or the naming rights. However, this presumes a future fact pattern than no once can predict at this time.
Re: Be a part of shaping the future of the remaining funds from Lakewood Hospital
Posted: Sun Nov 12, 2017 11:24 am
by Stan Austin
Mark--- In reading some of the contract language which you have offered and provided some hypothetical s I am struck by the fact that it seems that the CCF had a very precise game plan. It would seem to a lay person that this game plan was very familiar to them and the attorneys who were negotiating on the Clinic''s behalf. And the converse, it would seem that Lakewood Hospital and any of its affiliates had no clue nor was any provided by their counsel.
Stan Austin
Re: Be a part of shaping the future of the remaining funds from Lakewood Hospital
Posted: Sun Nov 12, 2017 11:32 am
by Bridget Conant
Stan Austin wrote:Mark--- In reading some of the contract language which you have offered and provided some hypothetical s I am struck by the fact that it seems that the CCF had a very precise game plan. It would seem to a lay person that this game plan was very familiar to them and the attorneys who were negotiating on the Clinic''s behalf. And the converse, it would seem that Lakewood Hospital and any of its affiliates had no clue nor was any provided by their counsel.
Stan Austin
It is most definitely a contract that favors the Clevelan Clinic - it appears that it was drawn up by them, for them, and the city was handed it to sign.
Re: Be a part of shaping the future of the remaining funds from Lakewood Hospital
Posted: Sun Nov 12, 2017 11:55 am
by Jim O'Bryan
Bridget Conant wrote:Stan Austin wrote:Mark--- In reading some of the contract language which you have offered and provided some hypothetical s I am struck by the fact that it seems that the CCF had a very precise game plan. It would seem to a lay person that this game plan was very familiar to them and the attorneys who were negotiating on the Clinic''s behalf. And the converse, it would seem that Lakewood Hospital and any of its affiliates had no clue nor was any provided by their counsel.
Stan Austin
It is most definitely a contract that favors the Clevelan Clinic - it appears that it was drawn up by them, for them, and the city was handed it to sign.
Let's not forget, it was the City's Administration that sent out the RFP, thereby letting CCF out of their contract. There is no letter that has been produced from the Clinic asking to be let out. If I remember correctly they refused the first attempt at an RFP.
I still believe, this was a small group of people desperate to develop what they had deemed "DowntowN" going back to 2010. when you look at everything going on around this deal, it was to define develop areas, while stuffing the LHF coffer, they are taking over, while desperately looking at the acreage that would be left to develop.
On the flip side, it would be foolhardy to think a part time law director with help from lawyers suggested by CCF against a corporation that has building of lawyers all around the world could get the better of anything.
As suggested by some, it is reminiscent of the scene in "Trading Places" with CCF lawyers betting each other a dollar, if the city would take various things they offered in the contract. Meanwhile the myopic group in Lakewood only cared about the acreage, the LHF funds, and whatever crumbs were left from the deal to develop, develop, develop!
I can't wait to drop off my dry cleaning, shop for guppies while eating ice cream, in an area that employed 1,500 in high paying jobs, and was a true anchor for all of the businesses in downtown. Even if they only build mixed use living work space the only people to win will be those controlling the funds with their salaries and furniture stores and landscapers.

Re: Be a part of shaping the future of the remaining funds from Lakewood Hospital
Posted: Sun Nov 12, 2017 12:31 pm
by cmager
Jim O'Bryan wrote:
On the flip side, it would be foolhardy to think a part time law director with help from lawyers suggested by CCF against a corporation that has building of lawyers all around the world could get the better of anything.
As suggested by some, it is reminiscent of the scene in "Trading Places" with CCF lawyers betting each other a dollar, if the city would take various things they offered in the contract. Meanwhile the myopic group in Lakewood only cared about the acreage, the LHF funds, and whatever crumbs were left from the deal to develop, develop, develop!
Am I correct that said law director was full-time until he thought he deserved another paycheck from Brooklyn? Yes he was foolish enough to bring a laser pointer to a gunfight. But I'm thinking it's not his employment status, instead it is his skills, and even more-so his temperament. He worked FOR the flawed and felonious deal that favors CCF. I cannot imagine his real motivation?
Re: Be a part of shaping the future of the remaining funds from Lakewood Hospital
Posted: Sun Nov 12, 2017 12:42 pm
by Jim O'Bryan
cmager wrote:Jim O'Bryan wrote:
On the flip side, it would be foolhardy to think a part time law director with help from lawyers suggested by CCF against a corporation that has building of lawyers all around the world could get the better of anything.
As suggested by some, it is reminiscent of the scene in "Trading Places" with CCF lawyers betting each other a dollar, if the city would take various things they offered in the contract. Meanwhile the myopic group in Lakewood only cared about the acreage, the LHF funds, and whatever crumbs were left from the deal to develop, develop, develop!
Am I correct that said law director was full-time until he thought he deserved another paycheck from Brooklyn? Yes he was foolish enough to bring a laser pointer to a gunfight. But I'm thinking it's not his employment status, instead it is his skills, and even more-so his temperament. He worked FOR the flawed and felonious deal that favors CCF. I cannot imagine his real motivation?
CM
One has to go back to 2010, to put this into real perspective.
Mayor/County Executive Ed FitzGerald on the fast track to be the new Governor. And with the fast track come many hanger-ons looking for positions that they can get with the appointments, or backing for their elections.
Ed FitzGerald was the great hope of the Ohio Democratic Party, and then an investigation into time cards, that bled over into "that night" caused the entire deal to unravel. Think of where we would be now if Ed was Governor? Think of where we would be if Summers was County Executive? It would seem the wheels have come off the wagon.
If wishes were fishes...
.
Re: Be a part of shaping the future of the remaining funds from Lakewood Hospital
Posted: Sun Nov 12, 2017 2:53 pm
by Brian Essi
bentleymike wrote:
As for the CCF equal rights to the board, I re-read the Master Agreement once again after seeing Mr. Essi’s post. I didn’t see anything about that in there. It does state the CCF is entitled to 2 spots of a of 5-21 member board.
Come to the conversation & help. Let’s make the best of the future course of this. If we stare in our rear view mirror, we’ll crash. Help us keep our eyes on the road.
Mr.Bentley,
Section 4.1 of the Master Agreement states that
the City and LHA [i.e. CCF] will
(i) jointly agree upon a process for the creation of ...the New Foundation;
(ii) develop New Foundation's governing documents...
(iv) select New Foundation;s initial board.
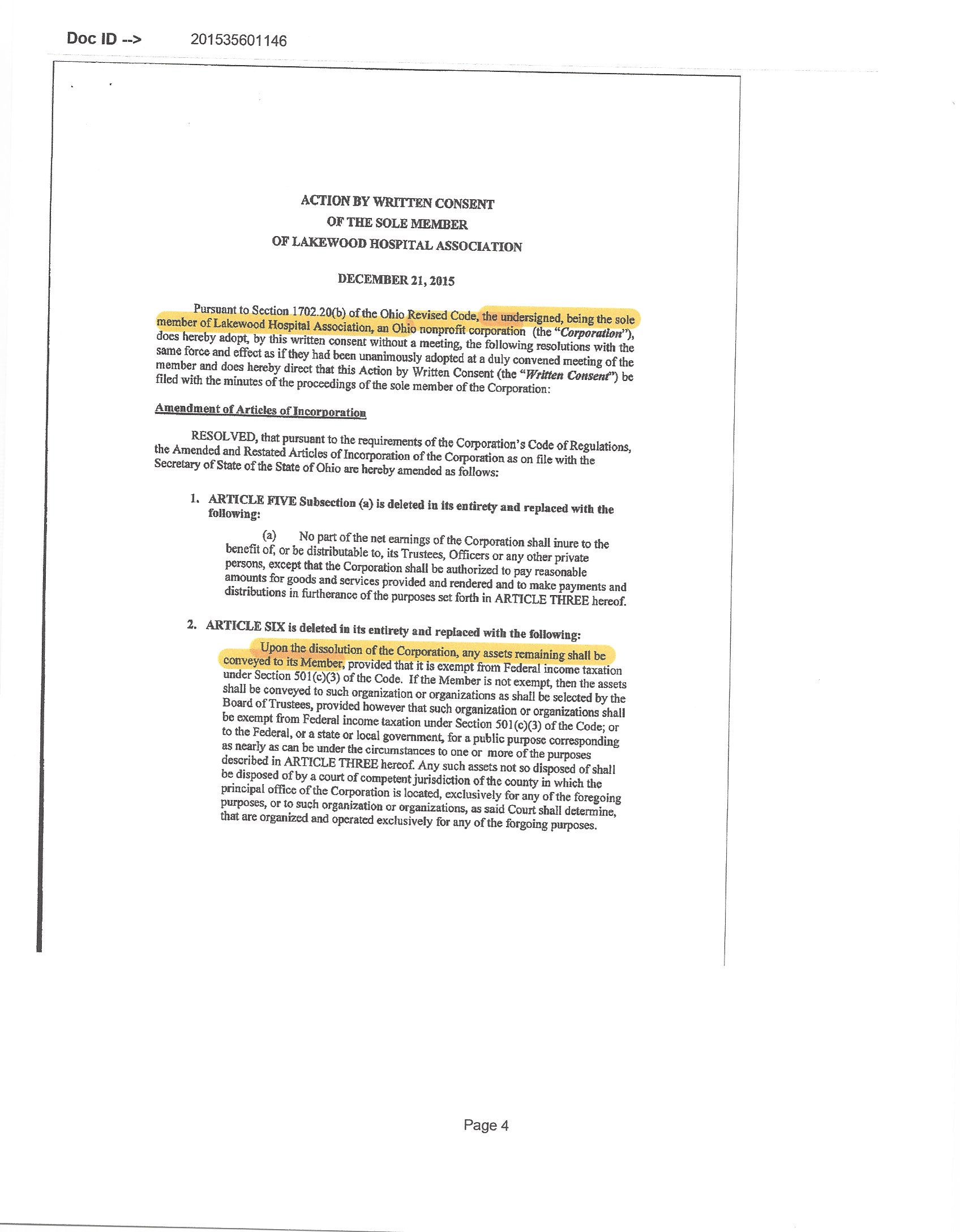
Note from the attached LHA Articles of Incorporation amended by CCF on December 21, 2015 (below) that CCF can take whatever action it wants with respect to LHA, including but not limited to taking all LHA's money and property if CCF wants to dissolve LHA. So, CCF owns LHA and wherever the Master Agreement says "LHA" the term "LHA" means CCF.
In summary of the above, it is my conclusion that:
1. All of the work done and decided by the Foundation Task Force (or by City Council & Summers) is subject to:
a. CCF's right to Develop the New Foundation's governing documents.
b. CCF's right to select New Foundation's initial board.
2. The selection of the initial board will determine "the future of the remaining funds"=CCF has Superior "equal" rights over the City.
3. CCF stole our hospital at the "negotiating" table that CCF had no contractual right to before the Master Agreement---it is unlikely CCF will waive any contractual rights it has under the Master Agreement.
So, while I believe you are well intentioned in your invitation to "come to the conversation...let's make the best of the future..." the fine work of your task force will likely mean little or nothing without CCF's agreement and buy in. That being the case, if the same bad actors---Summers, Butler, O'Leary et al are going to again "negotiate" with the Clinic to come to another "agreement", may I respectfully suggest you check the vehicle you are driving in and the road you are on before focusing eyes on the road to the abstract future.

- scan0335.jpg (495.42 KiB) Viewed 2816 times

- scan0336.jpg (354.44 KiB) Viewed 2816 times
Re: Be a part of shaping the future of the remaining funds from Lakewood Hospital
Posted: Sun Nov 12, 2017 3:26 pm
by Stan Austin
And we're left with a bag of dog chow