Page 2 of 9
Re: Summersgate 1 Summers Hired BL Crony Convicted of Harrassment Involving Anti-Semitic and Bizarre Sexual Content Mail
Posted: Tue Jun 28, 2016 1:29 pm
by Brian Essi
Brian Essi wrote:Corey,
You finally admitted you are a distraction.
Let's deal with substance: How do you feel about the hiring practices of your mayor and planning director?
Would Jordan's Family Foundation hire or do business with someone with a criminal background?
A simple yes or no to start with one sentence to follow would go a long way to recovery.
So you are good with hiring someone like that.
Okay
Re: Summersgate 1 Summers Hired BL Crony Convicted of Harrassment Involving Anti-Semitic and Bizarre Sexual Content Mail
Posted: Tue Jun 28, 2016 1:44 pm
by Corey Rossen
Brian Essi wrote:Brian Essi wrote:Corey,
You finally admitted you are a distraction.
Let's deal with substance: How do you feel about the hiring practices of your mayor and planning director?
Would Jordan's Family Foundation hire or do business with someone with a criminal background?
A simple yes or no to start with one sentence to follow would go a long way to recovery.
So you are good with hiring someone like that.
Okay
I know you like grammatically correct posts. You claimed I was telling lies due to the grammatically incorrect use of ( ) instead of using [ ] in a previous post. Had I used [ ] at that time you would have found a different deflection to use.
In this post you try to avoid my comment on question marks by grammatically incorrectly using a period.
Deflections get to be tiresome, don't they? (Uh oh, question mark)
Re: Summersgate 1 Summers Hired BL Crony Convicted of Harrassment Involving Anti-Semitic and Bizarre Sexual Content Mail
Posted: Tue Jun 28, 2016 4:02 pm
by Bridget Conant
Re: Summersgate 1 Summers Hired BL Crony Convicted of Harrassment Involving Anti-Semitic and Bizarre Sexual Content Mail
Posted: Tue Jun 28, 2016 4:12 pm
by m buckley
Brian Essi wrote:This is the first in a series of posts that expose how the Summers Administration abuses governmental power, uses people, engages in cover ups and has close ties to Build Lakewood and those associated with it.
Today’s focus is on Summers and Dru Siley who hired a “Friends of Summers” contributor and Build Lakewood supporter with a known criminal background. While the person was a city employee, he sent postcards to Lakewood residents that, according to city employee Jean Yousefi, “were meant to be intimidating in nature.”
Today’s Evidence: The first of several pages from a Richmond Heights Police file (a public record) related to the employee's Telecommunications Harassment Guilty plea and Conviction.
What it Shows: Emails and letters containing “
Hateful”, “
David Duke”, “
Anti-Semitic”, and “
Bizarre and Strong Sexual Acts” Content were sent:
According to file:
1. A letter and email sent to a school superintendent of the Jewish faith “
was anti-Semitic in nature”—the letter “
was downloaded and printed off of the David Duke website. an infamous white pride leader.”
2. A second letter was sent to a school board president that “
was immoral in nature as it dealt with things of a bizarre and strong sexual acts and content” was sent to the Superintendent of Richmond Heights Schools with a return address of a “Christian School”
3. The email came from “<Jay Miner>Debbyis@freakingretard.com” and stated “You Are a F---ing Moron” “
The email came from a website EVIL EMAIL.COM…designed for persons to remain anonymous as possible while sending emails.”
Why would Summers and Siley hire this person?
Why would Build Lakewood publicly tout such a person as their supporter even after Build Lakewood leaders/founders (e.g. Dru Siley) knew of his background?
Why would Build Lakewood’s attorney, Jay Carson, (who claims he hates bullies) make an appearance and represent a person that the city claimed sent postcards to Lakewood residents that “were meant to be intimidating in nature”?
scan.jpg
Mr. Essi, I hope that you have time to lay out this very disturbing story in The Observer.
Re: Summersgate 1 Summers Hired BL Crony Convicted of Harrassment Involving Anti-Semitic and Bizarre Sexual Content Mail
Posted: Tue Jun 28, 2016 6:26 pm
by kate e parker
I hope essi includes the employee's name. he sorta stopped short of that. I guess he must have had a lawyery reason for the omission of the name. it is only June.
Re: Summersgate 1 Summers Hired BL Crony Convicted of Harrassment Involving Anti-Semitic and Bizarre Sexual Content Mail
Posted: Tue Jun 28, 2016 9:24 pm
by Brian Essi
kate e parker wrote:I hope essi includes the employee's name. he sorta stopped short of that. I guess he must have had a lawyery reason for the omission of the name. it is only June.
Ms. Parker,
I'm surprise that someone who has expressed such concerns for victims is not the least bit concerned for the victims in Lakewood who were subject to the person: 1. Summers hired and empowered and 2. Build Lakewood elevated to the status of one its key supporters.
Re: Summersgate 1 Summers Hired BL Crony Convicted of Harrassment Involving Anti-Semitic and Bizarre Sexual Content Mail
Posted: Tue Jun 28, 2016 10:28 pm
by kate e parker
still no name eh? shocker there.
glad that you got my name right though

Re: Summersgate 1 Summers Hired BL Crony Convicted of Harrassment Involving Anti-Semitic and Bizarre Sexual Content Mail
Posted: Tue Jun 28, 2016 10:30 pm
by Patrick Wadden
How come you didn't call her "Rick". Still not sure what that was all about.
Re: Summersgate 1 Summers Hired BL Crony Convicted of Harrassment Involving Anti-Semitic and Bizarre Sexual Content Mail
Posted: Tue Jun 28, 2016 10:48 pm
by Brian Essi
Patrick Wadden wrote:How come you didn't call her "Rick". Still not sure what that was all about.
Glad you are so concerned about your fellow citizens who have been intimidated by someone Summers and Siley hired.
Would it concern you if Summers and Siley had been warned about the employee's past prior to being hired?
Re: Summersgate 1 Summers Hired BL Crony Convicted of Harrassment Involving Anti-Semitic and Bizarre Sexual Content Mail
Posted: Tue Jun 28, 2016 10:48 pm
by Patrick Wadden
Repeatedly called her Rick. Documented. What was that all about? Maybe I don't care. This place has turned into high school lunch room. I am not sure which post to respond to anymore in the Essi/Rossen mash potato fight.
Re: Summersgate 1 Summers Hired BL Crony Convicted of Harrassment Involving Anti-Semitic and Bizarre Sexual Content Mail
Posted: Wed Jun 29, 2016 5:16 am
by Brian Essi
Patrick Wadden wrote:Repeatedly called her Rick. Documented. What was that all about? Maybe I don't care. This place has turned into high school lunch room. I am not sure which post to respond to anymore in the Essi/Rossen mash potato fight.
You are bringing up something that does not belong on this thread. Your post is designed to detract from the subject of this thread.
In my opinion your claim "I am not sure which post to reply to" is completely fake.
The themes and intent of your replies are not to address the substance of the thread, but to discredit me as the poster of the thread. If your intent was otherwise you would be adding content and/or addressing Corey, not me.
If you are not part of the solution, you are part of the problem.
Re: Summersgate 1 Summers Hired BL Crony Convicted of Harrassment Involving Anti-Semitic and Bizarre Sexual Content Mail
Posted: Wed Jun 29, 2016 6:48 am
by Michael Deneen
Let the record show: Despite making numerous posts on multiple threads, noone has denied the substance of the original post -- that City Hall hired a convicted criminal with a record of anti-Semitic behavior.
Team Summers has made numerous posts and created multiple threads to muddy the water and to discredit the Deck and Essi -- but they virulently avoid the actual issue at hand.
Like Mr. Buckley, I hope that this situation is reported in the print edition of the paper.
Re: Summersgate 1 Summers Hired BL Crony Convicted of Harrassment Involving Anti-Semitic and Bizarre Sexual Content Mail
Posted: Wed Jun 29, 2016 9:22 am
by Bridget Conant
Doesn't the city have a hiring policy that requires a background check? Most municipalities require that for new hires. Does Lakewood not do that?
Was a background check check not performed prior to hiring? Or, perhaps worse, was the report done but ignored?
This is concerning.
Re: Summersgate 1 Summers Hired BL Crony Convicted of Harrassment Involving Anti-Semitic and Bizarre Sexual Content Mail
Posted: Wed Jun 29, 2016 10:17 am
by Brian Essi
Bridget Conant wrote:Doesn't the city have a hiring policy that requires a background check? Most municipalities require that for new hires. Does Lakewood not do that?
Was a background check check not performed prior to hiring? Or, perhaps worse, was the report done but ignored?
This is concerning.
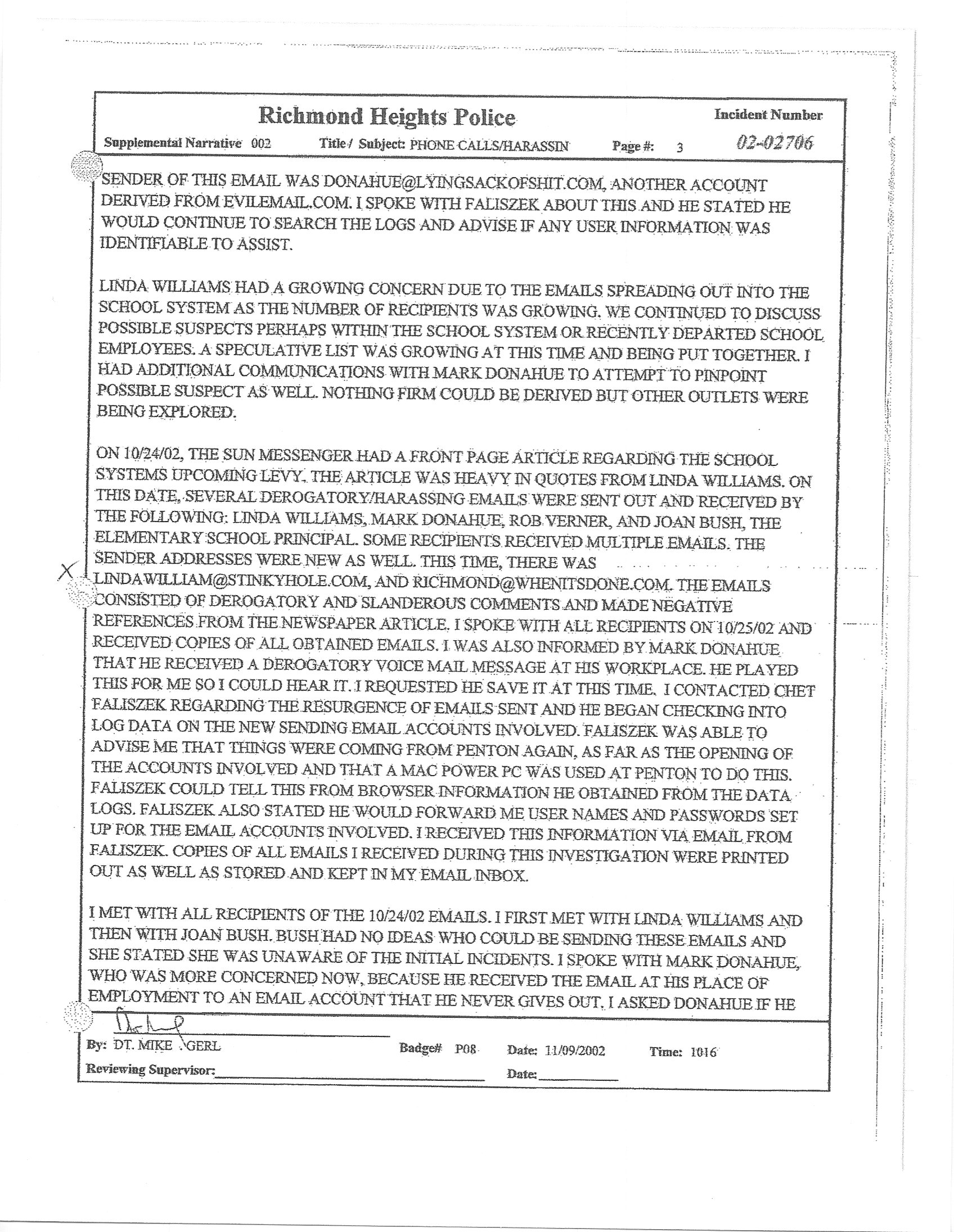
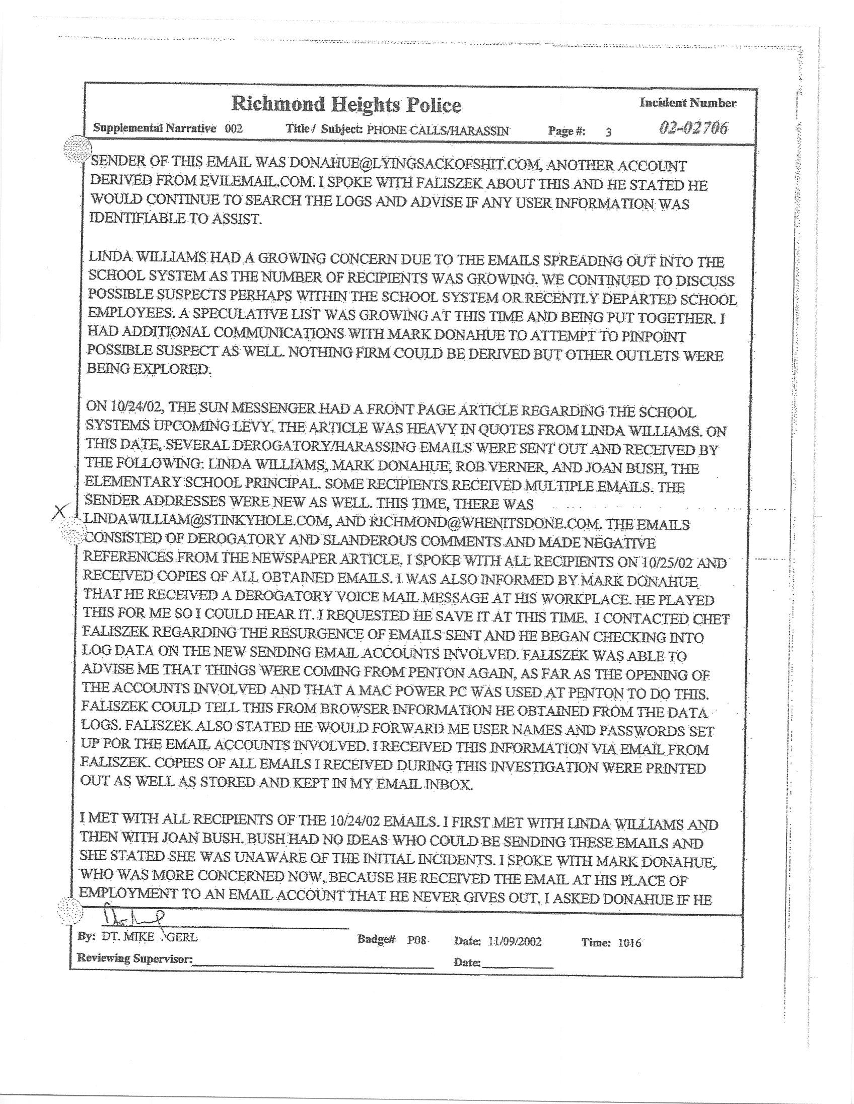
The public records make clear that the perpetrator used the computer of his then employer, Penton Media, to send many emails.
“Derogatory and Slanderous” emails were sent from the following email “Evil Email.com” accounts:
1. “<Jay Miner>
Debbyis@freakingretard.com”
2.
Danhue@lyingsackofshit.com
3.
LindaWilliam@StinkyHole.com
My guess is that Penton Media would have terminated him for that conduct.
So it appears that Summers and Siley did not even look at his past employment history.
Public records show that the hiree was friendly with Siley prior to being hired and I was told that he also worked on Summers' prior election campaign.
How is city hall being run?
This guy was hired by Summers in early 2015--an election year.
Was he hired as the quid pro quo to do the dirty work for Summers' 2015 campaign?
The report indicates he caused a lot of concern and trouble among his enemies at the Richmond Heights School system.

- scan0031.jpg (817.98 KiB) Viewed 4332 times
Re: Summersgate 1 Summers Hired BL Crony Convicted of Harrassment Involving Anti-Semitic and Bizarre Sexual Content Mail
Posted: Wed Jun 29, 2016 10:52 am
by m buckley
Brian Essi wrote:Bridget Conant wrote:Doesn't the city have a hiring policy that requires a background check? Most municipalities require that for new hires. Does Lakewood not do that?
Was a background check check not performed prior to hiring? Or, perhaps worse, was the report done but ignored?
This is concerning.
The public records make clear that the perpetrator used the computer of his then employer, Penton Media, to send many emails.
“Derogatory and Slanderous” emails were sent from the following email “Evil Email.com” accounts:
1. “<Jay Miner>
Debbyis@freakingretard.com”
2.
Danhue@lyingsackofshit.com
3.
LindaWilliam@StinkyHole.com
My guess is that Penton Media would have terminated him for that conduct.
So it appears that Summers and Siley did not even look at his past employment history.
Public records show that the hiree was friendly with Siley prior to being hired and I was told that he also worked on Summers' prior election campaign.
How is city hall being run?
This guy was hired by Summers in early 2015--an election year.
Was he hired as the quid pro quo to do the dirty work for Summers' 2015 campaign?
The report indicates he caused a lot of concern and trouble among his enemies at the Richmond Heights School system.
scan0031.jpg
bump.